AUCTORES
Globalize your Research
Research Article | DOI: https://doi.org/10.31579/2578-8965/220
Department of Obstetrics and Gynecology, Guizhou Provincial People’s Hospital.
*Corresponding Author: Yan Gao, Department of Obstetrics and Gynecology, Guizhou Provincial People’s Hospital.
Citation: Jie Zheng, Yan Gao, (2024), Bioinformatics-based analysis of EMT-related genes in cervical cancer patients, J. Obstetrics Gynecology and Reproductive Sciences, 8(7) DOI:10.31579/2578-8965/220
Copyright: © 2024, Yan Gao. This is an open-access article distributed under the terms of The Creative Commons Attribution License, which permits unrestricted use, distribution, and reproduction in any medium, provided the original author and source are credited.
Received: 13 May 2024 | Accepted: 24 May 2024 | Published: 04 September 2024
Keywords: cervical cancer; bioinformatics analysis; EMT; differentially expressed genes; protein-protein interaction network; immune infiltrated cells
Background: In most cases, patients who are not screened canonically have advanced disease by the time they are first diagnosed. Therefore, invasive metastasis is the main feature and cause of death in patients with advanced cervical cancer.
Methods: The GEO database was searched for analytical data on cervical cancer. The GSE9750 dataset was employed to identify differentially expressed genes (DEGs) in tumor samples compared to normal samples, carry out enrichment analysis, build protein-protein interaction (PPI) networks to identify key genes (Hub gene), and perform between diagnostic genes and immune infiltrated cells.
Results: A total of 1440 DEGs and 46 differential genes linked to EMT were screened. GO enrichment produced 455 results, and Kyoto Encyclopedia of Genes and Genomes pathway enrichment (KEGG )yielded a total of 18 pathways. A PPI network was built using 46 differential genes related to EMT, and 9 Hub genes were also validated. Nine hub genes had exactly the same up- and down-regulation trend as before in the external verification set, but only six hub genes were ultimately determined to be diagnostic genes after further validation by the external verification set. The results of the KM (Kaplan-Meier) survival study also revealed five prognostic genes related to survival, namely MMP1, CXCL8, SSP1, MMP3, and VCAM1.
Conclusion: The genes MMP1, CXCL8, SSP1, MMP3, and VCAM1are crucial in the development of EMT in patients with cervical cancer and can be employed as both diagnostic and therapeutic targets during the progression of EMT in cervical cancer patients.
Cervical cancer (CC) is the second most common gynecological tumor and the leading cause of death in women1.Over 99% of precancerous lesions (cervical dysplasia) and cervical carcinomas are caused by high-risk HPV infection2 .A number of biomarkers [e.g. squamous cell carcinoma antigen (SCC-Ag)] are currently used in the diagnosis and prognosis of cervical cancer. However, the lack of sensitivity and specificity of these biomarkers limits their utility3.At present, the treatment of cervical cancer mainly includes surgery, radiotherapy, chemotherapy and immunotherapy4. In recent years, with the continuous development of medical technology and the application of cervical cancer vaccines, there are more accessible personnel and technologies to implement appropriate treatments, so the mortality rate of cervical cancer in developed countries has decreased5.However, for many
underdeveloped nations, the scarcity of resources and infrastructure make such preventative and treatment programs limited or even non-existent. Currently,>85% of cervical cancer deaths occur in low and middle-income countries. Tragically, cervical cancer is the leading cause of cancer deaths in women of the developing world 6.The development of cervical cancer is associated with various factors such as chromosomal aberrations, DNA mutations, abnormal methylation, and abnormal regulation of pathways 7-10. Therefore, in order to find a simpler and more reliable diagnosis method, explore the potential mechanism of related genes affecting cervical cancer cells, and reduce the mortality rate of cervical cancer, it is still necessary to further develop diagnostic markers and therapeutic targets for cervical cancer to provide new methods for the treatment and intervention of patients.
Cancer cells acquire metastatic potential and gain motility primarily through the EMT process. EMT is a cellular process that is characterized by a change from an epithelial to a metachromatic phenotype11. This process is crucial for cancer development, invasion, metastasis, tumor immunosuppression, and immune evasion12. Clinical data indicate that EMT is strongly linked to a poor prognosis in patients with cervical cancer13 . Several studies have now explored the mechanisms of cervical lymph node metastasis14,15 . However, there are still no validated biomarkers associated with metastasis during the progression of EMT in cervical cancer patients.
The above studies have shown that EMT has an important role in the progression of cervical cancer. Therefore, this study aims to find EMT-related genes that influence the development of cervical cancer.
2.1 Screening and differential expression analysis of DEGs
The cervical cancer analysis data were first extracted from the GEO database, and GSE9750 served as the training set. The DEGs were screened based on the GSE9750 dataset, and the limma package was used to analyze the DEGs and produce a volcano plot with the screening conditions of p.adj < 0>1.Heat maps of DEGs expression were plotted using the ggplot2 package in R software.
2.2 Acquisition of EMT-related differential genes and analysis of GO and KEGG enrichment
Venn diagrams were used to identify the intersection genes of DEGs with EMT-related genes, and GO functional annotations and KEGG enrichment analysis of EMT-related differential genes were performed using the R package (package cluster Profiler). One of the GO functional annotations includes biological processes, cellular composition and molecular functional analysis to predict the function of the protein. KEGG enrichment analysis will concentrate DEGs in specific pathways to construct a network of intermolecular interactions and relationships. Parameters are set to default (adj. p value < 0>
2.3 Screening of key HUB genes and ROC curve test
Import EMT-related differential genes into STRING database to construct protein interaction network (default parameters). Then, the analysis results were imported into Cytoscape software and the Hub gene was screened using the plug-in MCODE (default parameters: degree cutoff:2;Node score cutoff:0.2;K-core:2;Max.depth:100). The PPI screened Hub genes were submitted to expression and ROC analysis. Box-line plots of Hub gene expression were drawn; ROC analysis was subsequently performed.
2.4 External validation of HUB genes
The expression and ROC of 9 Hub genes were validated in the external validation set GSE127265, which included 10 samples, including 7 tumor samples and 3 normal samples. The expression of the nine Hub genes in the control and CC groups were compared, respectively, to observe whether the up- and down-regulation relationships of each Hub gene were consistent with those in the previous step 2.3, and to observe whether the AUC values in the ROC analysis were greater than 0.7.
2.5 Correlation analysis of diagnostic genes
Correlations between the six diagnostic genes were calculated based on spearman correlation analysis using the R package.
2.6 Infiltrating cell correlation analysis of diagnostic genes
In this study, immune infiltrating cell analysis was performed on the sample gene expression data using the R package CIBERSORT algorithm to calculate the sample immune infiltrating cell abundance. The correlation coefficient (r-value) and significance (p-value) between differential immune infiltrating cells and diagnostic genes were calculated using R package psych based on the sample immune infiltrating cell abundance and 6 diagnostic gene expression matrices. The R package ggpubr was used to create a lollipop plot of each hub gene associated with immune infiltrating cells.
2.7 Mapping the gene network
The regulatory mechanisms among diagnostic genes, TFs, and miRNAs were analyzed by the online miRNet (https://www.mirnet.ca) database to derive the linkage between Gene - TFs and also between Gene - miRNAs.
3.1 Dentification of differential genes
Based on the GSE9750 dataset, 1440 DEGs were screened between cervical cancer samples and normal samples, including 415 differentially up-regulated genes and 1025 differentially down-regulated genes (Figure 1); The most significant 10 up- and down-regulated genes each in Top logFC were selected for heat map (Figure 2)

Figure 1: Volcano plot of differentially expressed genes. The vertical coordinates indicate the corrected P-value (the logarithm of the base 10 is taken for the corrected P-value to make the image more aesthetically pleasing); the horizontal coordinates indicate logFC (Fold Chang). Grey:non-significant genes; red : Red: up-regulation;blue:down-regulation.

Figure 2: Heat map of differentially expressed genes.
3.2 Identification of EMT-related genes and GO and KEGG enrichment analysis
Direct intersection of DEGs with EMT-related genes resulted in 46 intersected genes (Figure3). 455 results were obtained from GO enrichment, of which 417 BPs (biological processes), 32 MFs (molecular functions), and 6 CCs (cellular components) were enriched. The results showed that in BP, the shared differential genes were mainly enriched in "cell growth regulation" and "extracellular matrix". In CC, shared differential genes are mainly enriched in "collagen-containing extracellular matrix" and
"endoplasmic reticulum lumen"; in MF, shared differential genes are mainly enriched in "structural components of extracellular matrix" and "integrin binding" molecular functions (Figure 4). These results suggest that immune and metabolic changes are necessary for tumorigenesis and progression. KEGG is enriched in a total of 18 pathways, and the differential genes are mainly enriched in "TNF", "Wnt", "IL-17" and other signaling pathways. "This indicates that most of these target genes are enriched in cancer-related pathways, and one gene may be involved in multiple pathways (Figure 5).

Figure 3: Venn diagram of the intersection of EMT-related differential genes;Purple:differentially expressed genes(DEG);Green:EMT-related genes;Bule:EMT-related differential genes.

Figure 4: GO terms enrichment analysis of DEGs.

Figure 5: Relation graph of KEGG pathways in which differentially expressed genes were significantly enriched. There were 10 pathways in the relation graph.
3.3 Construction of PPI network to screen key Hub genes
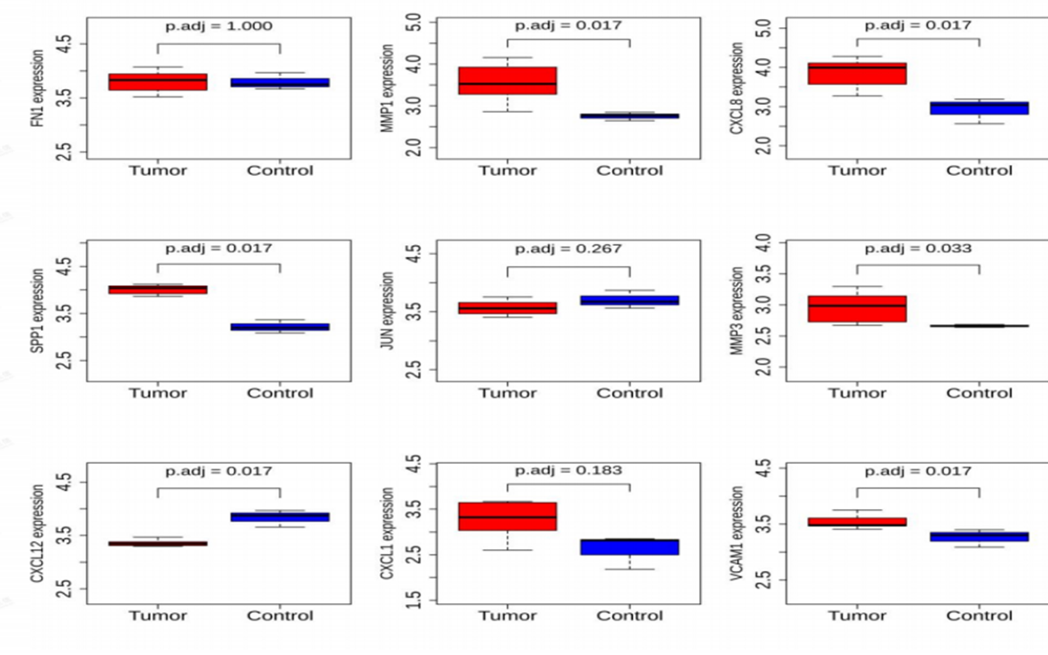
A shared differential gene PPI network graph consisting of 46 EMT-related differential genes was constructed using the STRING online database, and 9 Hub genes were screened by applying the plug-in MCODE plug-in (Figure 6). The nine Hub genes are FN1, MMP1, CXCL8, SPP1, JUN, MMP3, CXCL12, CXCL1, and VCAM1( Figure 7 and Figure 8).

Figure 6: protein-protein interaction network.

Figure 7: Total Gene Interaction Network.Red:9 Hub genes;Purple:The remaining genes in the 46 EMT-associated differential genes.

Figure 8: MCODE Screening Core Gene Network
3.4 Hub gene expression and ROC analysis
The box line plot of Hub gene expression was drawn based on the nine Hub genes screened by PPI for [removed]Figure 9), and the results showed that
among the nine Hub genes, JUN and CXCL12 showed down-regulation, while the rest were all in up-regulation relationship. ROC analysis was also performed (Figure 10), and the AUC values were all greater than 0.7.
Figure 9: Hub gene expression analysis.

Figure 10: Hub gene ROC analysis.
3.5 External Validation Set Validity
The results showed that the differential expression of nine Hub genes in the external validation set was completely consistent with the previous one, but the p.adj values of three of them, FN1, JUN, and CXCL1, were not significant at greater than 0.05. ROC analysis showed that all AUC were greater than 0.7 (Figure 12). We selected diagnostic genes those genes whose up- and down-regulation relationships obtained from expression in the
external validation set were consistent and significant with the expression in 3.4, while meeting an AUC value greater than 0.7. The diagnostic genes meeting the above criteria were MMP1, CXCL8, SPP1, MMP3, CXCL12, and VCAM1.That is, the above six genes can be considered as genes with specificity in the progression of EMT in cervical cancer patients and can be used as markers for the diagnosis of their progression.

Figure 11: Expression analysis of Hub genes in external validation sets.

Figure 12: ROC analysis of Hub genes in external validation sets.
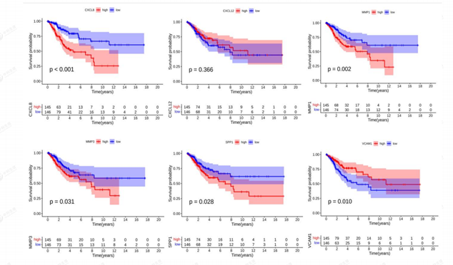
3.6 Hub Gene Survival Analysis
KM plots were drawn to illustrate the relationship between overall survival rate (OS) and gene expression levels in patients (Figure 13). Genes with p < 0.05 were defined as prognostic genes associated with survival by using the log-rank test. the results showed that five genes, MMP1, CXCL8, SPP1, MMP3, and VCAM1, were significant or defined as prognostic genes associated with survival. high expression of MMP1, CXCL8, SPP1, and MMP3 was associated with poor patient prognosis.

Figure 13: Kaplan-Meier of Diagnostic genes.
3.7 Correlation of diagnostic genes with immune infiltrating cells
A lollipop plot of each hub gene correlation with immune infiltrating cells was drawn using the R package ggpubr (Figure 14). The analysis of the
correlation between hub genes and immune infiltrating cells shows that CXCL8, MMP1, and SPP1 genes are all associated with immune cells such as CD4 T cells, macrophage M0, and macrophage M1.

Figure 14. Correlation of diagnostic genes with immune infiltrating cells.
3.8 Regulatory mechanisms of diagnostic genes
Based on the results of diagnostic gene identification and validation, we mapped the Gene - TF and Gene - miRNA gene networks for diagnostic genes with their target miRNAs and TF transcription factors (Figure 15 and Figure 16. From the figure, it can be seen that CXCL8 has more transcription factors and also some of the same transcription factors among the 6 genes.

Figure 15: Gen-TF Gene Regulatory Network.

Figure 16: Gene-miRNA Gene Regulatory Network. Red: Diagnostic genes: Orange: TF: Green: miRNA.
There are many studies on genes associated with cervical cancer prognosis, but few studies have examined the genes associated with EMT in cervical cancer patients. For this reason, it is crucial to search for differentially expressed genes associated with EMT in cervical cancer. In order to find targets related to EMT regulation in cervical cancer to improve cancer invasion and metastasis, we screened the difference genes between cervical cancer and normal tissues based on the GSE9750 dataset.
We intersected 1440 differentially expressed genes with EMT-related genes, obtained 46 EMT-related differential genes, and performed GO and KEGG enrichment analysis on 46 genes. Reviewing the literature16, IL-17A and HPSE may promote cervical cancer tumor angiogenesis and cell proliferation and invasion through the NF-kB signaling pathway. KEGG enrichment pathway results show that CXCL8, CXCL12, VCAM1 are enriched in the NF-KB signaling pathway, and are all key genes in the progression of
cervical cancer EMT, this study has confirmed that CXCL8 and CXCL12 are highly expressed in cervical cancer patients, and their high expression is closely related to the poor prognosis of patients. Therefore, these EMT-associated differential genes may regulate cervical cancer by promoting cell proliferation and invasion.
To further search for key genes that influence cervical cancer, we screened the core module by PPI, ROC to evaluate the performance of diagnostic models. Subsequently, TF and miRNA networks related to diagnostic genes were constructed. Matrix metalloproteinase 1 (MMP1), which degrades the extracellular matrix, causes invasive metastasis and infiltration of malignant tumors17.Studies have shown18. that MMP1 plays a key role in regulating cervical tumor growth and lymgnostic factor in cervical cancer. Consistent with the results of this study by raw letter analysis. With increased MMP1 expression in patients, survival analysis revealed a decrease in OS, indicating that this gene may serve as a landmark for determining prognosis and be an excellent predictor of 5-year survival in CESC. It was shown19 that MMP1 may control macrophage activation of STAT3 pathway to promote tumor progression. MMP1 is more associated and positively correlated with macrophage M0 and T cells CD4 naive, and negatively correlated with the dendritic cells, CD4 memory T cells, and monocytes. Lower risk scores have been demonstrated20-23to be associated with larger levels of CD8+ T cells and activated CD4+ T cells, both of which are well known to be effector cells in the tumour microenvironment and typically have a better prognosis for patients. Therefore, these MMP1s may regulate the initiation and progression of cervical cancer by participating in the tumor immune microenvironment. Matrix metalloproteinase 3 (MMP3) plays multiple roles in extracellular protein hydrolysis and intracellular transcription. Knockdown of MMP3 has significant anti-tumor effects, such as inhibition of tumor cell migration and invasion. High levels of MMP3 expression are associated with poor prognosis in specific types of cancer (including head and neck, lung, pancreatic, cervical, gastric and uroepithelial cancers)24.This study also verified that the high expression of MMP3 in cervical cancer patients is associated with poor prognosis. Chemokine (CXCL8), also known as interleukin-8 (IL-8). CXCL8 expression in various tissues from the UCLCAN database showed that CXCL8 was upregulated in a variety of tumor types, including colorectal, cervical, esophageal, and head and neck cancers25, which is consistent with the results of this study regarding CXCL8.Secreted phosphoprotein 1 (SPP1), which controls cell growth, proliferation, migration and apoptosis. It has been shown26 that SPP1 expression is positively correlated with the abundance of M2 macrophages and the expression of the corresponding immune markers (CD163 and VSIG4).M2 macrophages exert anti-inflammatory and pro-tumor effects, promoting the progression and metastasis of a variety of tumors, such as breast and gastric cancers. Song et al27 noted that SPP1 upregulation was associated with cervical cancer invasion. This study confirmed the involvement of SPP1 in the progression of EMT in cervical cancer patients, which was positively correlated with macrophage M2, CD4 T cells, etc. In addition, its high expression was significantly associated with poor prognosis in cervical cancer patients. Vascular cell adhesion molecular 1 (VCAM1), an important member of the immunoglobulin superfamily, contains seven extracellular Ig structural domains that are normally detected in endothelial cells and activated by inflammatory factors28.A related study confirmed that VCAM1 is associated with the development of malignant tumors such as breast cancer, melanoma, and renal clear cell carcinoma .One study confirmed29 that high expression of VCAM1 enhanced the migration and invasive ability of cancer cells in vitro and affected the survival prognosis of patients, contrary to our raw letter findings. It was demonstrated30 that a variety of immune cells possess VLA-4, the particular receptor for VCAM1. Theoretically, tumor cells that express VCAM1 facilitate the ability for immune cells to connect to them and activate the immune system. The role of VCAM1 in tumor immunity deserves to be studied, which is why we subsequently performed the correlation between diagnostic genes and immune infiltrating cells. However, tumor patients have progressively lower immune function as their disease progresses, and their immune function transforms from cellular to humoral immunity while their mucus factors, such as VCAM1, are highly expressed. It has been shown31 that VCAM1 promotes colorectal cancer metastasis to lung or bone metastasis by recruiting monocytes or macrophages and forming complexes that promote tumor cell evasion from immune system attack and transendothelial cell migration .It may be deduced from the findings of this study that VCAM1 can facilitate the invasion and migration of cervical cancer cells by promoting tumor cell evasion of the immune system and transendothelial cell migration. Based on the information provided in this study, we look forward to further validating the specific mechanism of VCAM1's involvement in the EMT process.
There are a few issues with this study. There were no relevant animal trials or independent cervical cancer samples to validate the function of these five diagnostic genes. The impact of high VCAM1 expression on patient prognosis was also unforeseen and will be further investigated in future research. In addition, this study preliminarily confirmed that the six EMT-related characteristic genes screened are associated with tumor immune cells, but the specific mechanism of action of these diagnostic genes and the tumor immune microenvironment has not been confirmed. In the future, we will further examine whether these 6 genes may regulate immune cells.
In summary, this study identified 6 characteristic genes associated with EMT and identified many key genes associated with cervical cancer. Among them, 5 genes (MMP1, CXCL8, SPP1, MMP3, VCAM1) are closely related to the occurrence of EMT in cervical cancer patients, which can make a clearer diagnosis for clinically clear localization of cervical cancer patients' disease progression. Abnormal expression of these characteristic genes seriously affects the survival time of patients, and also confirms that these 5 genes are closely related to the immune response and the microenvironment of tumor immunity, suggesting that we may be able to improve the prognosis of cervical cancer patients through targeted immunotherapy. On the other hand, our next step will be to use TF and miRNA networks associated with diagnostic genes to explore the specific mechanisms of these genes in cervical cancer.
Supported by Guizhou Provincial Science and Technology Projects (2021) 450
Clearly Auctoresonline and particularly Psychology and Mental Health Care Journal is dedicated to improving health care services for individuals and populations. The editorial boards' ability to efficiently recognize and share the global importance of health literacy with a variety of stakeholders. Auctoresonline publishing platform can be used to facilitate of optimal client-based services and should be added to health care professionals' repertoire of evidence-based health care resources.
Journal of Clinical Cardiology and Cardiovascular Intervention The submission and review process was adequate. However I think that the publication total value should have been enlightened in early fases. Thank you for all.
Journal of Women Health Care and Issues By the present mail, I want to say thank to you and tour colleagues for facilitating my published article. Specially thank you for the peer review process, support from the editorial office. I appreciate positively the quality of your journal.
Journal of Clinical Research and Reports I would be very delighted to submit my testimonial regarding the reviewer board and the editorial office. The reviewer board were accurate and helpful regarding any modifications for my manuscript. And the editorial office were very helpful and supportive in contacting and monitoring with any update and offering help. It was my pleasure to contribute with your promising Journal and I am looking forward for more collaboration.
We would like to thank the Journal of Thoracic Disease and Cardiothoracic Surgery because of the services they provided us for our articles. The peer-review process was done in a very excellent time manner, and the opinions of the reviewers helped us to improve our manuscript further. The editorial office had an outstanding correspondence with us and guided us in many ways. During a hard time of the pandemic that is affecting every one of us tremendously, the editorial office helped us make everything easier for publishing scientific work. Hope for a more scientific relationship with your Journal.
The peer-review process which consisted high quality queries on the paper. I did answer six reviewers’ questions and comments before the paper was accepted. The support from the editorial office is excellent.
Journal of Neuroscience and Neurological Surgery. I had the experience of publishing a research article recently. The whole process was simple from submission to publication. The reviewers made specific and valuable recommendations and corrections that improved the quality of my publication. I strongly recommend this Journal.
Dr. Katarzyna Byczkowska My testimonial covering: "The peer review process is quick and effective. The support from the editorial office is very professional and friendly. Quality of the Clinical Cardiology and Cardiovascular Interventions is scientific and publishes ground-breaking research on cardiology that is useful for other professionals in the field.
Thank you most sincerely, with regard to the support you have given in relation to the reviewing process and the processing of my article entitled "Large Cell Neuroendocrine Carcinoma of The Prostate Gland: A Review and Update" for publication in your esteemed Journal, Journal of Cancer Research and Cellular Therapeutics". The editorial team has been very supportive.
Testimony of Journal of Clinical Otorhinolaryngology: work with your Reviews has been a educational and constructive experience. The editorial office were very helpful and supportive. It was a pleasure to contribute to your Journal.
Dr. Bernard Terkimbi Utoo, I am happy to publish my scientific work in Journal of Women Health Care and Issues (JWHCI). The manuscript submission was seamless and peer review process was top notch. I was amazed that 4 reviewers worked on the manuscript which made it a highly technical, standard and excellent quality paper. I appreciate the format and consideration for the APC as well as the speed of publication. It is my pleasure to continue with this scientific relationship with the esteem JWHCI.
This is an acknowledgment for peer reviewers, editorial board of Journal of Clinical Research and Reports. They show a lot of consideration for us as publishers for our research article “Evaluation of the different factors associated with side effects of COVID-19 vaccination on medical students, Mutah university, Al-Karak, Jordan”, in a very professional and easy way. This journal is one of outstanding medical journal.
Dear Hao Jiang, to Journal of Nutrition and Food Processing We greatly appreciate the efficient, professional and rapid processing of our paper by your team. If there is anything else we should do, please do not hesitate to let us know. On behalf of my co-authors, we would like to express our great appreciation to editor and reviewers.
As an author who has recently published in the journal "Brain and Neurological Disorders". I am delighted to provide a testimonial on the peer review process, editorial office support, and the overall quality of the journal. The peer review process at Brain and Neurological Disorders is rigorous and meticulous, ensuring that only high-quality, evidence-based research is published. The reviewers are experts in their fields, and their comments and suggestions were constructive and helped improve the quality of my manuscript. The review process was timely and efficient, with clear communication from the editorial office at each stage. The support from the editorial office was exceptional throughout the entire process. The editorial staff was responsive, professional, and always willing to help. They provided valuable guidance on formatting, structure, and ethical considerations, making the submission process seamless. Moreover, they kept me informed about the status of my manuscript and provided timely updates, which made the process less stressful. The journal Brain and Neurological Disorders is of the highest quality, with a strong focus on publishing cutting-edge research in the field of neurology. The articles published in this journal are well-researched, rigorously peer-reviewed, and written by experts in the field. The journal maintains high standards, ensuring that readers are provided with the most up-to-date and reliable information on brain and neurological disorders. In conclusion, I had a wonderful experience publishing in Brain and Neurological Disorders. The peer review process was thorough, the editorial office provided exceptional support, and the journal's quality is second to none. I would highly recommend this journal to any researcher working in the field of neurology and brain disorders.
Dear Agrippa Hilda, Journal of Neuroscience and Neurological Surgery, Editorial Coordinator, I trust this message finds you well. I want to extend my appreciation for considering my article for publication in your esteemed journal. I am pleased to provide a testimonial regarding the peer review process and the support received from your editorial office. The peer review process for my paper was carried out in a highly professional and thorough manner. The feedback and comments provided by the authors were constructive and very useful in improving the quality of the manuscript. This rigorous assessment process undoubtedly contributes to the high standards maintained by your journal.
International Journal of Clinical Case Reports and Reviews. I strongly recommend to consider submitting your work to this high-quality journal. The support and availability of the Editorial staff is outstanding and the review process was both efficient and rigorous.
Thank you very much for publishing my Research Article titled “Comparing Treatment Outcome Of Allergic Rhinitis Patients After Using Fluticasone Nasal Spray And Nasal Douching" in the Journal of Clinical Otorhinolaryngology. As Medical Professionals we are immensely benefited from study of various informative Articles and Papers published in this high quality Journal. I look forward to enriching my knowledge by regular study of the Journal and contribute my future work in the field of ENT through the Journal for use by the medical fraternity. The support from the Editorial office was excellent and very prompt. I also welcome the comments received from the readers of my Research Article.
Dear Erica Kelsey, Editorial Coordinator of Cancer Research and Cellular Therapeutics Our team is very satisfied with the processing of our paper by your journal. That was fast, efficient, rigorous, but without unnecessary complications. We appreciated the very short time between the submission of the paper and its publication on line on your site.
I am very glad to say that the peer review process is very successful and fast and support from the Editorial Office. Therefore, I would like to continue our scientific relationship for a long time. And I especially thank you for your kindly attention towards my article. Have a good day!
"We recently published an article entitled “Influence of beta-Cyclodextrins upon the Degradation of Carbofuran Derivatives under Alkaline Conditions" in the Journal of “Pesticides and Biofertilizers” to show that the cyclodextrins protect the carbamates increasing their half-life time in the presence of basic conditions This will be very helpful to understand carbofuran behaviour in the analytical, agro-environmental and food areas. We greatly appreciated the interaction with the editor and the editorial team; we were particularly well accompanied during the course of the revision process, since all various steps towards publication were short and without delay".
I would like to express my gratitude towards you process of article review and submission. I found this to be very fair and expedient. Your follow up has been excellent. I have many publications in national and international journal and your process has been one of the best so far. Keep up the great work.
We are grateful for this opportunity to provide a glowing recommendation to the Journal of Psychiatry and Psychotherapy. We found that the editorial team were very supportive, helpful, kept us abreast of timelines and over all very professional in nature. The peer review process was rigorous, efficient and constructive that really enhanced our article submission. The experience with this journal remains one of our best ever and we look forward to providing future submissions in the near future.
I am very pleased to serve as EBM of the journal, I hope many years of my experience in stem cells can help the journal from one way or another. As we know, stem cells hold great potential for regenerative medicine, which are mostly used to promote the repair response of diseased, dysfunctional or injured tissue using stem cells or their derivatives. I think Stem Cell Research and Therapeutics International is a great platform to publish and share the understanding towards the biology and translational or clinical application of stem cells.
I would like to give my testimony in the support I have got by the peer review process and to support the editorial office where they were of asset to support young author like me to be encouraged to publish their work in your respected journal and globalize and share knowledge across the globe. I really give my great gratitude to your journal and the peer review including the editorial office.
I am delighted to publish our manuscript entitled "A Perspective on Cocaine Induced Stroke - Its Mechanisms and Management" in the Journal of Neuroscience and Neurological Surgery. The peer review process, support from the editorial office, and quality of the journal are excellent. The manuscripts published are of high quality and of excellent scientific value. I recommend this journal very much to colleagues.
Dr.Tania Muñoz, My experience as researcher and author of a review article in The Journal Clinical Cardiology and Interventions has been very enriching and stimulating. The editorial team is excellent, performs its work with absolute responsibility and delivery. They are proactive, dynamic and receptive to all proposals. Supporting at all times the vast universe of authors who choose them as an option for publication. The team of review specialists, members of the editorial board, are brilliant professionals, with remarkable performance in medical research and scientific methodology. Together they form a frontline team that consolidates the JCCI as a magnificent option for the publication and review of high-level medical articles and broad collective interest. I am honored to be able to share my review article and open to receive all your comments.
“The peer review process of JPMHC is quick and effective. Authors are benefited by good and professional reviewers with huge experience in the field of psychology and mental health. The support from the editorial office is very professional. People to contact to are friendly and happy to help and assist any query authors might have. Quality of the Journal is scientific and publishes ground-breaking research on mental health that is useful for other professionals in the field”.
Dear editorial department: On behalf of our team, I hereby certify the reliability and superiority of the International Journal of Clinical Case Reports and Reviews in the peer review process, editorial support, and journal quality. Firstly, the peer review process of the International Journal of Clinical Case Reports and Reviews is rigorous, fair, transparent, fast, and of high quality. The editorial department invites experts from relevant fields as anonymous reviewers to review all submitted manuscripts. These experts have rich academic backgrounds and experience, and can accurately evaluate the academic quality, originality, and suitability of manuscripts. The editorial department is committed to ensuring the rigor of the peer review process, while also making every effort to ensure a fast review cycle to meet the needs of authors and the academic community. Secondly, the editorial team of the International Journal of Clinical Case Reports and Reviews is composed of a group of senior scholars and professionals with rich experience and professional knowledge in related fields. The editorial department is committed to assisting authors in improving their manuscripts, ensuring their academic accuracy, clarity, and completeness. Editors actively collaborate with authors, providing useful suggestions and feedback to promote the improvement and development of the manuscript. We believe that the support of the editorial department is one of the key factors in ensuring the quality of the journal. Finally, the International Journal of Clinical Case Reports and Reviews is renowned for its high- quality articles and strict academic standards. The editorial department is committed to publishing innovative and academically valuable research results to promote the development and progress of related fields. The International Journal of Clinical Case Reports and Reviews is reasonably priced and ensures excellent service and quality ratio, allowing authors to obtain high-level academic publishing opportunities in an affordable manner. I hereby solemnly declare that the International Journal of Clinical Case Reports and Reviews has a high level of credibility and superiority in terms of peer review process, editorial support, reasonable fees, and journal quality. Sincerely, Rui Tao.
Clinical Cardiology and Cardiovascular Interventions I testity the covering of the peer review process, support from the editorial office, and quality of the journal.
Clinical Cardiology and Cardiovascular Interventions, we deeply appreciate the interest shown in our work and its publication. It has been a true pleasure to collaborate with you. The peer review process, as well as the support provided by the editorial office, have been exceptional, and the quality of the journal is very high, which was a determining factor in our decision to publish with you.
The peer reviewers process is quick and effective, the supports from editorial office is excellent, the quality of journal is high. I would like to collabroate with Internatioanl journal of Clinical Case Reports and Reviews journal clinically in the future time.
Clinical Cardiology and Cardiovascular Interventions, I would like to express my sincerest gratitude for the trust placed in our team for the publication in your journal. It has been a true pleasure to collaborate with you on this project. I am pleased to inform you that both the peer review process and the attention from the editorial coordination have been excellent. Your team has worked with dedication and professionalism to ensure that your publication meets the highest standards of quality. We are confident that this collaboration will result in mutual success, and we are eager to see the fruits of this shared effort.
Dear Dr. Jessica Magne, Editorial Coordinator 0f Clinical Cardiology and Cardiovascular Interventions, I hope this message finds you well. I want to express my utmost gratitude for your excellent work and for the dedication and speed in the publication process of my article titled "Navigating Innovation: Qualitative Insights on Using Technology for Health Education in Acute Coronary Syndrome Patients." I am very satisfied with the peer review process, the support from the editorial office, and the quality of the journal. I hope we can maintain our scientific relationship in the long term.
Dear Monica Gissare, - Editorial Coordinator of Nutrition and Food Processing. ¨My testimony with you is truly professional, with a positive response regarding the follow-up of the article and its review, you took into account my qualities and the importance of the topic¨.
Dear Dr. Jessica Magne, Editorial Coordinator 0f Clinical Cardiology and Cardiovascular Interventions, The review process for the article “The Handling of Anti-aggregants and Anticoagulants in the Oncologic Heart Patient Submitted to Surgery” was extremely rigorous and detailed. From the initial submission to the final acceptance, the editorial team at the “Journal of Clinical Cardiology and Cardiovascular Interventions” demonstrated a high level of professionalism and dedication. The reviewers provided constructive and detailed feedback, which was essential for improving the quality of our work. Communication was always clear and efficient, ensuring that all our questions were promptly addressed. The quality of the “Journal of Clinical Cardiology and Cardiovascular Interventions” is undeniable. It is a peer-reviewed, open-access publication dedicated exclusively to disseminating high-quality research in the field of clinical cardiology and cardiovascular interventions. The journal's impact factor is currently under evaluation, and it is indexed in reputable databases, which further reinforces its credibility and relevance in the scientific field. I highly recommend this journal to researchers looking for a reputable platform to publish their studies.
Dear Editorial Coordinator of the Journal of Nutrition and Food Processing! "I would like to thank the Journal of Nutrition and Food Processing for including and publishing my article. The peer review process was very quick, movement and precise. The Editorial Board has done an extremely conscientious job with much help, valuable comments and advices. I find the journal very valuable from a professional point of view, thank you very much for allowing me to be part of it and I would like to participate in the future!”
Dealing with The Journal of Neurology and Neurological Surgery was very smooth and comprehensive. The office staff took time to address my needs and the response from editors and the office was prompt and fair. I certainly hope to publish with this journal again.Their professionalism is apparent and more than satisfactory. Susan Weiner
My Testimonial Covering as fellowing: Lin-Show Chin. The peer reviewers process is quick and effective, the supports from editorial office is excellent, the quality of journal is high. I would like to collabroate with Internatioanl journal of Clinical Case Reports and Reviews.
My experience publishing in Psychology and Mental Health Care was exceptional. The peer review process was rigorous and constructive, with reviewers providing valuable insights that helped enhance the quality of our work. The editorial team was highly supportive and responsive, making the submission process smooth and efficient. The journal's commitment to high standards and academic rigor makes it a respected platform for quality research. I am grateful for the opportunity to publish in such a reputable journal.
My experience publishing in International Journal of Clinical Case Reports and Reviews was exceptional. I Come forth to Provide a Testimonial Covering the Peer Review Process and the editorial office for the Professional and Impartial Evaluation of the Manuscript.
I would like to offer my testimony in the support. I have received through the peer review process and support the editorial office where they are to support young authors like me, encourage them to publish their work in your esteemed journals, and globalize and share knowledge globally. I really appreciate your journal, peer review, and editorial office.
Dear Agrippa Hilda- Editorial Coordinator of Journal of Neuroscience and Neurological Surgery, "The peer review process was very quick and of high quality, which can also be seen in the articles in the journal. The collaboration with the editorial office was very good."
I would like to express my sincere gratitude for the support and efficiency provided by the editorial office throughout the publication process of my article, “Delayed Vulvar Metastases from Rectal Carcinoma: A Case Report.” I greatly appreciate the assistance and guidance I received from your team, which made the entire process smooth and efficient. The peer review process was thorough and constructive, contributing to the overall quality of the final article. I am very grateful for the high level of professionalism and commitment shown by the editorial staff, and I look forward to maintaining a long-term collaboration with the International Journal of Clinical Case Reports and Reviews.
To Dear Erin Aust, I would like to express my heartfelt appreciation for the opportunity to have my work published in this esteemed journal. The entire publication process was smooth and well-organized, and I am extremely satisfied with the final result. The Editorial Team demonstrated the utmost professionalism, providing prompt and insightful feedback throughout the review process. Their clear communication and constructive suggestions were invaluable in enhancing my manuscript, and their meticulous attention to detail and dedication to quality are truly commendable. Additionally, the support from the Editorial Office was exceptional. From the initial submission to the final publication, I was guided through every step of the process with great care and professionalism. The team's responsiveness and assistance made the entire experience both easy and stress-free. I am also deeply impressed by the quality and reputation of the journal. It is an honor to have my research featured in such a respected publication, and I am confident that it will make a meaningful contribution to the field.
"I am grateful for the opportunity of contributing to [International Journal of Clinical Case Reports and Reviews] and for the rigorous review process that enhances the quality of research published in your esteemed journal. I sincerely appreciate the time and effort of your team who have dedicatedly helped me in improvising changes and modifying my manuscript. The insightful comments and constructive feedback provided have been invaluable in refining and strengthening my work".
I thank the ‘Journal of Clinical Research and Reports’ for accepting this article for publication. This is a rigorously peer reviewed journal which is on all major global scientific data bases. I note the review process was prompt, thorough and professionally critical. It gave us an insight into a number of important scientific/statistical issues. The review prompted us to review the relevant literature again and look at the limitations of the study. The peer reviewers were open, clear in the instructions and the editorial team was very prompt in their communication. This journal certainly publishes quality research articles. I would recommend the journal for any future publications.
Dear Jessica Magne, with gratitude for the joint work. Fast process of receiving and processing the submitted scientific materials in “Clinical Cardiology and Cardiovascular Interventions”. High level of competence of the editors with clear and correct recommendations and ideas for enriching the article.
We found the peer review process quick and positive in its input. The support from the editorial officer has been very agile, always with the intention of improving the article and taking into account our subsequent corrections.
My article, titled 'No Way Out of the Smartphone Epidemic Without Considering the Insights of Brain Research,' has been republished in the International Journal of Clinical Case Reports and Reviews. The review process was seamless and professional, with the editors being both friendly and supportive. I am deeply grateful for their efforts.
To Dear Erin Aust – Editorial Coordinator of Journal of General Medicine and Clinical Practice! I declare that I am absolutely satisfied with your work carried out with great competence in following the manuscript during the various stages from its receipt, during the revision process to the final acceptance for publication. Thank Prof. Elvira Farina
Dear Jessica, and the super professional team of the ‘Clinical Cardiology and Cardiovascular Interventions’ I am sincerely grateful to the coordinated work of the journal team for the no problem with the submission of my manuscript: “Cardiometabolic Disorders in A Pregnant Woman with Severe Preeclampsia on the Background of Morbid Obesity (Case Report).” The review process by 5 experts was fast, and the comments were professional, which made it more specific and academic, and the process of publication and presentation of the article was excellent. I recommend that my colleagues publish articles in this journal, and I am interested in further scientific cooperation. Sincerely and best wishes, Dr. Oleg Golyanovskiy.
Dear Ashley Rosa, Editorial Coordinator of the journal - Psychology and Mental Health Care. " The process of obtaining publication of my article in the Psychology and Mental Health Journal was positive in all areas. The peer review process resulted in a number of valuable comments, the editorial process was collaborative and timely, and the quality of this journal has been quickly noticed, resulting in alternative journals contacting me to publish with them." Warm regards, Susan Anne Smith, PhD. Australian Breastfeeding Association.
Dear Jessica Magne, Editorial Coordinator, Clinical Cardiology and Cardiovascular Interventions, Auctores Publishing LLC. I appreciate the journal (JCCI) editorial office support, the entire team leads were always ready to help, not only on technical front but also on thorough process. Also, I should thank dear reviewers’ attention to detail and creative approach to teach me and bring new insights by their comments. Surely, more discussions and introduction of other hemodynamic devices would provide better prevention and management of shock states. Your efforts and dedication in presenting educational materials in this journal are commendable. Best wishes from, Farahnaz Fallahian.
Dear Maria Emerson, Editorial Coordinator, International Journal of Clinical Case Reports and Reviews, Auctores Publishing LLC. I am delighted to have published our manuscript, "Acute Colonic Pseudo-Obstruction (ACPO): A rare but serious complication following caesarean section." I want to thank the editorial team, especially Maria Emerson, for their prompt review of the manuscript, quick responses to queries, and overall support. Yours sincerely Dr. Victor Olagundoye.
Dear Ashley Rosa, Editorial Coordinator, International Journal of Clinical Case Reports and Reviews. Many thanks for publishing this manuscript after I lost confidence the editors were most helpful, more than other journals Best wishes from, Susan Anne Smith, PhD. Australian Breastfeeding Association.
Dear Agrippa Hilda, Editorial Coordinator, Journal of Neuroscience and Neurological Surgery. The entire process including article submission, review, revision, and publication was extremely easy. The journal editor was prompt and helpful, and the reviewers contributed to the quality of the paper. Thank you so much! Eric Nussbaum, MD
Dr Hala Al Shaikh This is to acknowledge that the peer review process for the article ’ A Novel Gnrh1 Gene Mutation in Four Omani Male Siblings, Presentation and Management ’ sent to the International Journal of Clinical Case Reports and Reviews was quick and smooth. The editorial office was prompt with easy communication.
Dear Erin Aust, Editorial Coordinator, Journal of General Medicine and Clinical Practice. We are pleased to share our experience with the “Journal of General Medicine and Clinical Practice”, following the successful publication of our article. The peer review process was thorough and constructive, helping to improve the clarity and quality of the manuscript. We are especially thankful to Ms. Erin Aust, the Editorial Coordinator, for her prompt communication and continuous support throughout the process. Her professionalism ensured a smooth and efficient publication experience. The journal upholds high editorial standards, and we highly recommend it to fellow researchers seeking a credible platform for their work. Best wishes By, Dr. Rakhi Mishra.
Dear Jessica Magne, Editorial Coordinator, Clinical Cardiology and Cardiovascular Interventions, Auctores Publishing LLC. The peer review process of the journal of Clinical Cardiology and Cardiovascular Interventions was excellent and fast, as was the support of the editorial office and the quality of the journal. Kind regards Walter F. Riesen Prof. Dr. Dr. h.c. Walter F. Riesen.
Dear Ashley Rosa, Editorial Coordinator, International Journal of Clinical Case Reports and Reviews, Auctores Publishing LLC. Thank you for publishing our article, Exploring Clozapine's Efficacy in Managing Aggression: A Multiple Single-Case Study in Forensic Psychiatry in the international journal of clinical case reports and reviews. We found the peer review process very professional and efficient. The comments were constructive, and the whole process was efficient. On behalf of the co-authors, I would like to thank you for publishing this article. With regards, Dr. Jelle R. Lettinga.
Dear Clarissa Eric, Editorial Coordinator, Journal of Clinical Case Reports and Studies, I would like to express my deep admiration for the exceptional professionalism demonstrated by your journal. I am thoroughly impressed by the speed of the editorial process, the substantive and insightful reviews, and the meticulous preparation of the manuscript for publication. Additionally, I greatly appreciate the courteous and immediate responses from your editorial office to all my inquiries. Best Regards, Dariusz Ziora
Dear Chrystine Mejia, Editorial Coordinator, Journal of Neurodegeneration and Neurorehabilitation, Auctores Publishing LLC, We would like to thank the editorial team for the smooth and high-quality communication leading up to the publication of our article in the Journal of Neurodegeneration and Neurorehabilitation. The reviewers have extensive knowledge in the field, and their relevant questions helped to add value to our publication. Kind regards, Dr. Ravi Shrivastava.
Dear Clarissa Eric, Editorial Coordinator, Journal of Clinical Case Reports and Studies, Auctores Publishing LLC, USA Office: +1-(302)-520-2644. I would like to express my sincere appreciation for the efficient and professional handling of my case report by the ‘Journal of Clinical Case Reports and Studies’. The peer review process was not only fast but also highly constructive—the reviewers’ comments were clear, relevant, and greatly helped me improve the quality and clarity of my manuscript. I also received excellent support from the editorial office throughout the process. Communication was smooth and timely, and I felt well guided at every stage, from submission to publication. The overall quality and rigor of the journal are truly commendable. I am pleased to have published my work with Journal of Clinical Case Reports and Studies, and I look forward to future opportunities for collaboration. Sincerely, Aline Tollet, UCLouvain.
Dear Ms. Mayra Duenas, Editorial Coordinator, International Journal of Clinical Case Reports and Reviews. “The International Journal of Clinical Case Reports and Reviews represented the “ideal house” to share with the research community a first experience with the use of the Simeox device for speech rehabilitation. High scientific reputation and attractive website communication were first determinants for the selection of this Journal, and the following submission process exceeded expectations: fast but highly professional peer review, great support by the editorial office, elegant graphic layout. Exactly what a dynamic research team - also composed by allied professionals - needs!" From, Chiara Beccaluva, PT - Italy.
Dear Maria Emerson, Editorial Coordinator, we have deeply appreciated the professionalism demonstrated by the International Journal of Clinical Case Reports and Reviews. The reviewers have extensive knowledge of our field and have been very efficient and fast in supporting the process. I am really looking forward to further collaboration. Thanks. Best regards, Dr. Claudio Ligresti
Dear Chrystine Mejia, Editorial Coordinator, Journal of Neurodegeneration and Neurorehabilitation. “The peer review process was efficient and constructive, and the editorial office provided excellent communication and support throughout. The journal ensures scientific rigor and high editorial standards, while also offering a smooth and timely publication process. We sincerely appreciate the work of the editorial team in facilitating the dissemination of innovative approaches such as the Bonori Method.” Best regards, Dr. Matteo Bonori.
I recommend without hesitation submitting relevant papers on medical decision making to the International Journal of Clinical Case Reports and Reviews. I am very grateful to the editorial staff. Maria Emerson was a pleasure to communicate with. The time from submission to publication was an extremely short 3 weeks. The editorial staff submitted the paper to three reviewers. Two of the reviewers commented positively on the value of publishing the paper. The editorial staff quickly recognized the third reviewer’s comments as an unjust attempt to reject the paper. I revised the paper as recommended by the first two reviewers.
Dear Maria Emerson, Editorial Coordinator, Journal of Clinical Research and Reports. Thank you for publishing our case report: "Clinical Case of Effective Fetal Stem Cells Treatment in a Patient with Autism Spectrum Disorder" within the "Journal of Clinical Research and Reports" being submitted by the team of EmCell doctors from Kyiv, Ukraine. We much appreciate a professional and transparent peer-review process from Auctores. All research Doctors are so grateful to your Editorial Office and Auctores Publishing support! I amiably wish our article publication maintained a top quality of your International Scientific Journal. My best wishes for a prosperity of the Journal of Clinical Research and Reports. Hope our scientific relationship and cooperation will remain long lasting. Thank you very much indeed. Kind regards, Dr. Andriy Sinelnyk Cell Therapy Center EmCell
Dear Editorial Team, Clinical Cardiology and Cardiovascular Interventions. It was truly a rewarding experience to work with the journal “Clinical Cardiology and Cardiovascular Interventions”. The peer review process was insightful and encouraging, helping us refine our work to a higher standard. The editorial office offered exceptional support with prompt and thoughtful communication. I highly value the journal’s role in promoting scientific advancement and am honored to be part of it. Best regards, Meng-Jou Lee, MD, Department of Anesthesiology, National Taiwan University Hospital.
Dear Editorial Team, Journal-Clinical Cardiology and Cardiovascular Interventions, “Publishing my article with Clinical Cardiology and Cardiovascular Interventions has been a highly positive experience. The peer-review process was rigorous yet supportive, offering valuable feedback that strengthened my work. The editorial team demonstrated exceptional professionalism, prompt communication, and a genuine commitment to maintaining the highest scientific standards. I am very pleased with the publication quality and proud to be associated with such a reputable journal.” Warm regards, Dr. Mahmoud Kamal Moustafa Ahmed
Dear Maria Emerson, Editorial Coordinator of ‘International Journal of Clinical Case Reports and Reviews’, I appreciate the opportunity to publish my article with your journal. The editorial office provided clear communication during the submission and review process, and I found the overall experience professional and constructive. Best regards, Elena Salvatore.
Dear Mayra Duenas, Editorial Coordinator of ‘International Journal of Clinical Case Reports and Reviews Herewith I confirm an optimal peer review process and a great support of the editorial office of the present journal
Dear Editorial Team, Clinical Cardiology and Cardiovascular Interventions. I am really grateful for the peers review; their feedback gave me the opportunity to reflect on the message and impact of my work and to ameliorate the article. The editors did a great job in addition by encouraging me to continue with the process of publishing.
Dear Cecilia Lilly, Editorial Coordinator, Endocrinology and Disorders, Thank you so much for your quick response regarding reviewing and all process till publishing our manuscript entitled: Prevalence of Pre-Diabetes and its Associated Risk Factors Among Nile College Students, Sudan. Best regards, Dr Mamoun Magzoub.
International Journal of Clinical Case Reports and Reviews is a high quality journal that has a clear and concise submission process. The peer review process was comprehensive and constructive. Support from the editorial office was excellent, since the administrative staff were responsive. The journal provides a fast and timely publication timeline.
Dear Maria Emerson, Editorial Coordinator of International Journal of Clinical Case Reports and Reviews, What distinguishes International Journal of Clinical Case Report and Review is not only the scientific rigor of its publications, but the intellectual climate in which research is evaluated. The submission process is refreshingly free of unnecessary formal barriers and bureaucratic rituals that often complicate academic publishing without adding real value. The peer-review system is demanding yet constructive, guided by genuine scientific dialogue rather than hierarchical or authoritarian attitudes. Reviewers act as collaborators in improving the manuscript, not as gatekeepers imposing arbitrary standards. This journal offers a rare balance: high methodological standards combined with a respectful, transparent, and supportive editorial approach. In an era where publishing can feel more burdensome than research itself, this platform restores the original purpose of peer review — to refine ideas, not to obstruct them Prof. Perlat Kapisyzi, FCCP PULMONOLOGIST AND THORACIC IMAGING.
Dear Mayra Duenas, Editorial Coordinator of the journal IJCCR, I write here a little on my experience as an author submitting to the International Journal of Clinical Case Reports and Reviews (IJCCR). This was my first submission to IJCCR and my manuscript was inherently an outsider’s effort. It attempted to broadly identify and then make some sense of life’s under-appreciated mysteries. I initially had responded to a request for possible submissions. I then contacted IJCCR with a tentative topic for a manuscript. They quickly got back with an approval for the submission, but with a particular requirement that it be medically relevant. I then put together a manuscript and submitted it. After the usual back-and-forth over forms and formality, the manuscript was sent off for reviews. Within 2 weeks I got back 4 reviews which were both helpful and also surprising. Surprising in that the topic was somewhat foreign to medical literature. My subsequent updates in response to the reviewer comments went smoothly and in short order I had a series of proofs to evaluate. All in all, the whole publication process seemed outstanding. It was both helpful in terms of the paper’s content and also in terms of its efficient and friendly communications. Thank you all very much. Sincerely, Ted Christopher, Rochester, NY.
Dear Grace Pierce, Editorial Coordinator of the journal IJCCR, I had a very positive experience with Auctores - Journal throughout the publication process. The Editorial Team was highly responsive, professional, and supportive at every stage. I would like to extend my sincere thanks to the Editor: Grace Pierce, for her guidance and assistance. The peer-review process was smooth and constructive, helping improve the quality of my work. I would gladly recommend Auctores Journal to fellow researchers and authors. Dr. SABITA SINHA, Medical Oncologist, MD (Electro Homeopathy).
Dear Maria Emerson, Editorial Coordinator of - Journal of Clinical Research and Reports. ''I am pleased to provide this testimonial following the publication of our recent case report in this journal. The peer review process was rigorous, constructive, thorough, and conducted in a timely manner. The reviewers’ comments were thoughtful, detailed, and highly constructive, contributing substantially to the refinement, clarity, and scientific robustness of our manuscript. The process was conducted with professionalism and academic integrity throughout. The support provided by the editorial office was exemplary. Communication was consistently prompt, clear, and courteous at all stages of the submission and publication process. The editorial team demonstrated a high level of organization and responsiveness, ensuring that all queries were addressed efficiently and that the process remained transparent and well-coordinated. The overall quality of the journal is reflected in its strong editorial standards, commitment to scientific excellence, and dedication to publishing clinically meaningful research. It has been a privilege to publish our work in this journal, and we would welcome the opportunity to contribute further in the future.'' Best wishes from, Dr. Efstratios Trogkanis, Cardiologist.
Dear Reader: We have published several articles in the Auctores Publishing, LLC, journal, Clinical Medical Reviews and Reports in recent years (CMRR). This is an ‘open access’ journal and the following are our observations. From the initial invitation to submit an article, to the final edits of galley proofs, we have found CMRR personnel to be professional, responsive, rapid and thorough. This entire process begins with Catherine Mitchell, Editorial Coordinator. She is simply outstanding, and, I believe, unparalleled in her capacity. I cannot imagine a more responsive and dedicated Editorial Coordinator. As I read the dates and timing of her correspondence with us, it seems that she never sleeps. I hope Auctores Publishing, LLC, appreciates her efforts as much as these authors do. Thank you to Auctores Publishing, LLC, to the Editorial Staff/Board, and to Catherine Mitchell from a grateful author(s).