AUCTORES
Globalize your Research
Research Article | DOI: https://doi.org/10.31579/2692-9406/236
1 School of Kinesiology, University of British Columbia, 210-6081 University Boulevard, Vancouver, British Columbia, Canada, V6T 1Z1
2 International Collaboration on Repair Discoveries (ICORD), Vancouver Coastal Health Research Institute, 818 West 10th Avenue, Vancouver, British Columbia, Canada, V5Z 1M9
3 Integrated Engineering Program, Faculty of Applied Science, University of British Columbia, 309 - 6350 Stores Road, Vancouver, British Columbia, Canada, V6T 1Z4
4 Department of Anesthesiology, Pharmacology and Therapeutics, University of British Columbia, 11228-2775 Laurel Street, Vancouver, British Columbia, Canada, V5Z 1M9.
*Corresponding Author: Tania Lam, Professor, School of Kinesiology, University of British Columbia 818 West 10th Avenue, Vancouver, BC, Canada.
Citation: Jason M Anasori, Winston Brandt, Stephanie Wilkinson, Alison MM Williams, Lukas D Linde, et al., (2025). Pudendal somatosensory evoked potentials – A standardized assessment for males and females., J, Biomedical Research and Clinical Reviews, 11(3) DOI: 10.31579/2692-9406/236.
Copyright: © 2025 Tania Lam. This is an open-access article distributed under the terms of The Creative Commons Attribution License, which permits unrestricted use, distribution, and reproduction in any medium, provided the original author and source are credited.
Received: 25 November 2025 | Accepted: 08 December 2025 | Published: 16 December 2025
Keywords: somatosensory evoked potential; pudendal nerve; sensory threshold; test-retest reliability; electroencephalography; electrophysiology; sex difference; nerve stimulation
Objective: To evaluate configuration- and sex-related differences in pudendal somatosensory evoked potential (SEP) waveform characteristics, tolerability, response stability, and test–retest reliability in healthy adults.
Methods: Pudendal SEPs were recorded from forty-two able-bodied adults (20 females, 22 males) across multiple electrode configurations that varied in anode-cathode placement for both sexes, and in laterality (unilateral and bilateral) for females only. Tibial SEPs were also recorded as a reference control. Peak-to-peak amplitudes were compared across configurations and between sexes and nerves using linear mixed-effects models. SEP latency was summarized descriptively. Tolerability (self-reported 1–10 Likert scale) was analyzed with cumulative link mixed models. Peak-to-peak amplitude stability was computed from exponential fits of cumulative averages and compared across configurations and nerves. Test–retest reliability for SEP latency and peak-to-peak amplitudes was assessed using intraclass correlation coefficients and Bland–Altman analyses.
Results: Electrode configuration had no effect on peak-to-peak amplitude in females or males, and no sex-based amplitude differences were observed. Tolerability varied significantly by configuration, where the configuration with the clitoral cathode and bilateral anodes was rated least tolerable in females, and the configuration with the anode on the glans and the cathode on the proximal shaft was least tolerable in males. Tibial nerve stimulation was consistently rated as more tolerable than pudendal, with a larger difference observed in females. On average, pudendal SEP amplitudes stabilized at 282 stimuli in females and 324 in males, with no differences across configurations nor compared to tibial SEPs. Test–retest analyses showed no systematic bias and revealed moderate-to-good reliability, with latency measures demonstrating greater reproducibility than peak-to-peak amplitudes.
Conclusions: Pudendal SEP amplitudes and response stability were robust to electrode configuration, but tolerability differed across configurations, highlighting the need to consider electrode placement when designing protocols to improve participant comfort. Test–retest analyses demonstrated moderate-to-good reproducibility, particularly for latency measures, supporting the reliability of pudendal SEPs for longitudinal or repeated assessments.
Significance: These findings establish the feasibility and reliability of pudendal SEPs in healthy adults and provide guidance for optimizing stimulation locations in future research.
Bladder, bowel, and sexual function are essential to quality of life, and disruptions in any of these systems can have profound physical, emotional, and social consequences (Aoun et al., 2021; Hibner et al., 2010; Khoder & Hale, 2014; Schraffordt et al., 2004). The pudendal nerve provides the motor, autonomic, and sensory innervation to key pelvic structures associated with each of these functions. It originates from the S2-S4 spinal segments and trifurcates into the inferior rectal nerve, the perineal nerve, and the dorsal nerve of the clitoris or penis (Aoun et al., 2021; Cavalcanti et al., 2007; Fadel et al., 2021; Hibner et al., 2010; Khoder & Hale, 2014; Schraffordt et al., 2004; Shafik et al., 1995). Direct injury to pudendal nerve branches or lesions to the associated ascending and descending spinal pathways may result in a range of functional impairments. Given its importance, accurate assessments of pudendal nerve function are essential for identifying and addressing dysfunction.
Somatosensory evoked potentials (SEPs) provide a means to evaluate pudendal nerve sensory function and ascending tract integrity in various clinical populations. In this assessment, electrical stimuli are delivered to a branch of the pudendal nerve and subsequent cortical responses are captured using electroencephalography (EEG) over the somatosensory cortex (Cruccu et al., 2008; Lüders et al., 1985; Muzyka & Estephan, 2019). In previous research, the majority of protocols have targeted the dorsal nerve of the penis or clitoris to elicit pudendal SEPs, with considerable variability in the configuration and location of stimulating electrodes (Williams et al., 2024). In females, surface electrodes are commonly affixed along the vulva near the clitoris and labia in either a unilateral or bilateral configuration; in males, the most common stimulation sites are along the dorsal penile shaft or glans penis (Williams et al., 2024). Stimulus intensity is typically set to 2-4 times the perceptual threshold (Williams et al. 2024).
One of the factors that contributes to participant burden is the number of stimuli delivered. Pudendal nerve stimulation can be uncomfortable, and delivering hundreds of stimuli may amplify this discomfort. Clinical recommendations for SEPs suggest averaging at least 500 trials to ensure reproducibility and accurate measurement of latency and amplitude (Cruccu et al., 2008). However, in a recent systematic review, Williams et al. (2024) reported that the median number of stimuli used in previous studies recordings pudendal SEPs was 300, with a range from 50 to 2048, suggesting considerable variability across studies. To balance participant tolerability with the need for high-quality data, it is important to determine the minimum number of stimuli required to produce a stable SEP waveform.
Waveform characteristics have been used to evaluate pudendal nerve function before and after an intervention or procedure (Calabrò et al., 2019; Dasgupta et al., 2004; Giani et al., 2011; Ma et al., 2019; Senol et al., 2008; Song et al., 2020; Xia et al., 2016). The most commonly reported pudendal SEP characteristics are latency and peak-to-peak amplitude of specific waveform features (Williams et al., 2024). However, the between-day reliability of these measures in healthy adults and clinical populations has not yet been established for pudendal SEPs. In contrast, studies assessing SEPs from other peripheral nerves have shown variable reproducibility across nerves and recording conditions. Ehrenbrusthoff et al. (2022) developed a SEP protocol targeting sensory nerves of the lower back and reported very poor test–retest reliability in healthy adults, with large random variability between sessions. Hardmeier et al. (2019) noted that relatively few SEP reliability investigations exist but reported consistent cortical latencies for median-nerve SEPs in a multicentre sample of individuals with multiple sclerosis. Similarly, Brown et al. (2017) found that SEPs elicited from the median nerve were among the most reliable electrophysiological measures across study sites. Establishing the test-retest reliability of pudendal SEP outcomes is therefore critical, particularly if these measures are to be used for longitudinal tracking of patients or evaluating the effects of therapeutic interventions.
Despite the potential importance of pudendal SEPs in clinical and research settings, techniques used to elicit and record pudendal SEPs remain inconsistent in the literature, best practice guidelines have yet to be established, and the reliability of testing outcomes has not yet been examined. Furthermore, eliciting pudendal SEPs is further complicated by the multiple possible configurations of electrode placement within and between females and males, unlike other peripheral nerves commonly used for SEP assessment (e.g. median nerve, tibial nerve) where the anatomical location for delivering electrical stimulation is more straightforward. Thus, the primary aim of this study was to determine if there are configuration-dependent effects on pudendal SEP waveform characteristics, tolerability to stimulation, and the number of stimuli required to achieve a stable pudendal SEP response in female and male adults. Secondary aims of this study were to 1) determine if there were any sex-based differences in pudendal SEP waveform characteristics, tolerability to pudendal stimulation, and pudendal SEP response stability; and 2) evaluate the test-retest reliability of pudendal SEP waveform characteristics.
2.1 Participants
We recruited able-bodied adults aged 19 years and older for this study. We excluded participants if they had a neurological impairment; reported symptoms of urinary, bowel, or sexual dysfunction; were pregnant or had been pregnant within the past 6 months; had previous surgery involving the sex organs or perineum (except for circumcision in males performed at least 6 months earlier); or had a genital piercing. Ethical approval was obtained from the University of British Columbia’s Clinical Research Ethics Board, and all participants provided written informed consent.
2.2 Electrode Configurations
In female and male participants, we stimulated the dorsal nerve of the clitoris or penis, respectively. Figure 1 outlines the electrode configurations for each sex.

Figure 1: Electrode configurations for pudendal nerve stimulation in females (A) and males (B). In females, we tested six configurations, and in males, we tested four configurations. Red electrodes indicate cathodes, and black electrodes indicate anodes. Grey electrodes represent inactive sites in a given configuration. Configuration abbreviations denote electrode polarity and location, with the first letter representing the anode position and the second the cathode. In males, G = glans, P = proximal shaft, M = mid-shaft. In females, R = right, L = left, B = bilateral, and C = clitoris.
For female participants, three 12-mm square disposable Ag/AgCl surface electrodes were applied: one on the clitoral hood and two positioned within the crease between the outer and inner labia at the level of the urethra. We tested six female stimulation configurations. Four configurations used two electrodes to stimulate unilaterally, and two configurations involved all three electrodes to stimulate bilaterally (Fig. 1A).
For male participants, three 2.5-cm disposable cloth surface electrodes were placed on the dorsal side of the penis: one electrode on the glans, and two electrodes positioned 2-3 cm apart along the midline of the shaft. We tested four male stimulation configurations, which always paired the proximal shaft electrode with either the distal shaft or glans electrode, while alternating the location of the anode (Fig. 1B).
We also recorded tibial SEPs as a control condition in female and male participants. The tibial nerve was stimulated via two 2.5-cm disposable cloth surface electrodes affixed near the ankle, posterior to the medial malleolus, with the cathode placed proximally and the anode placed distally.
2.3 Recording Procedures
Participants were positioned comfortably in supine on a plinth in a dimly lit room. We recorded EEG signals from Cz and referenced to Fz using a 32-channel EEG system with a sampling frequency of 5 kHz (actiCHamp Plus, Brain Vision Solutions, Montreal, QC, Canada).
For each pudendal and tibial nerve electrode configuration, we identified the participant’s perceptual threshold (PT). This was done by slowly increasing the stimulus intensity until the participant reported that they could first identify the rhythm of the continuous 3 Hz stimulus train. We then raised the intensity to approximately 120% of this value and gradually reduced the intensity until the participant reported no longer detecting the sensation. We repeated this
ascending-descending procedure three times, recording the intensity at which perception began (up) and ended (down) during each trial. This gave us six values per configuration, and we calculated PT as the mean of those six values. Table 1 summarizes the mean and range of the current amplitude at PT for each configuration.
| Configuration | PT (mA) |
| Female | |
| CB | 2.1 ± 0.9(0.5 - 3.8) |
| BC | 2.3 ± 1.0(1.1 - 4.2) |
| CL | 1.7 ± 0.6(0.3 - 2.7) |
| LC | 2.0 ± 0.8(0.7 - 3.7) |
| CR | 1.7 ± 0.7 (0.5 - 2.8) |
| RC | 2.1 ± 0.9(0.7 - 3.8) |
| Tibial | 1.1 ± 0.5(0.6 - 2.9) |
| Male | |
| PG | 2.5 ± 0.9(1.2 - 4.5) |
| GP | 2.8 ± 1.2(1.4 - 5.2) |
| PM | 2.3 ± 1.0 (1.2 - 5.6) |
| MP | 2.9 ± 1.4(1.2 - 5.5) |
| Tibial | 2.0 ± 0.7(1.0 - 3.4) |
Table 1: Perceptual threshold (milliamp, mA), reported as mean ± standard deviation (range).
We recorded pudendal and tibial SEPs using a stimulus intensity of 3×PT. If a participant could not tolerate 3×PT, we lowered the stimulus intensity to the highest tolerable intensity. If a participant could not tolerate at least 2×PT for a given configuration, we excluded the configuration for this participant. We excluded 17 trials across 5 participants due to intolerance of stimulus intensity above 2×PT (Fig. 3).
For each pudendal and tibial nerve stimulation configuration, we delivered 600 square wave pulses of 1 millisecond duration using a constant-current stimulator (DS7R, Digitimer, Welwyn Garden City, Hertfordshire, UK) at randomized frequencies ranging from 1 to 3 Hz. We randomized the order of electrode configuration tested for each participant, with the exception of the tibial nerve stimulation trial, which was always the middle trial of the session. After each trial, participants gave a tolerability score for the given configuration on a scale of 1 to 10, where 1 represented barely perceivable stimulation and 10 represented unbearable intensity.
2.4 Data Analysis
We analyzed our data using the EEGLAB toolbox (Delorme & Makeig, 2004) for MATLAB R2024b (MathWorks, Natick, MA, USA) and custom MATLAB scripts. All EEG data were preprocessed using high-pass and low-pass filters with cut-off frequencies of 1 Hz and 100 Hz, respectively. We averaged the time-locked EEG signals of the 600 stimuli, and two of the authors (SW, WB) independently reviewed the traces to identify the presence and location of each peak (P1, N1, P2, N2). Discrepancies greater than 0.5 ms in peak latency were resolved through consensus with a third author (AMMW). For waveforms with identifiable peaks, we extracted the latency and peak-to-peak amplitude of each waveform complex (P1N1, N1P2, P2N2) by taking the absolute difference between peaks. Waveforms with no identifiable peaks did not contribute to further analysis.
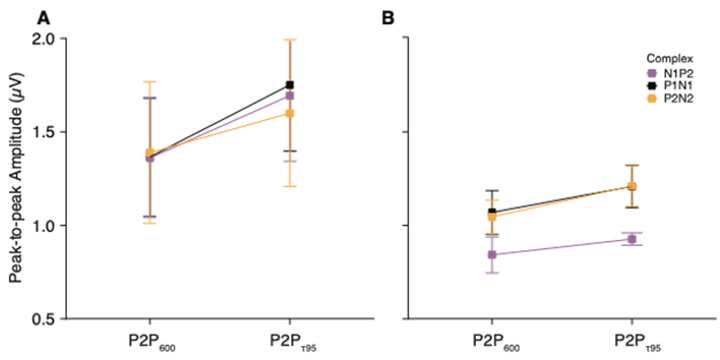
To determine when the SEP stabilized, the peak-to-peak amplitude derived from the 600- stimuli average was compared to amplitudes of incremental averages, starting with a 2-stimuliaverage. The standard deviation of the peak-to-peak amplitude for each complex was calculated, and an exponential line of best fit was applied using Equation 1 to determine the time constant, τ, representing 63.2% of the final stable value. The stabilization point (τ95) was then calculated using Equation 2, corresponding to the number of stimuli at which the standard deviation settled to 95% of its final value. The peak-to-peak amplitude for each complex was subsequently calculated using averaged responses up to τ95 for each trial, or the τ95-derived peak-to-peak (P2Pτ95) and compared to the average peak-to-peak amplitude from the whole trial containing 600 stimuli (P2P600). Only trials where the exponential line of best fit was good (R2 ≥ 0.80) and τ95 ≤ 2048 stimuli were included (2048 was the highest number of stimuli delivered across different pudendal SEP protocols reported in the literature) (Williams et al., 2024).

Figure 2 presents a representative example of response stability analysis for pudendal SEPs, showing the cumulative P2P600 curve and the standard deviation–based fit used to determine τ₉₅.

Figure 2: Representative example of response stability analysis for pudendal SEPs (P1N1 complex). The cumulative P2P₆₀₀ curve is plotted against the number of averaged stimuli, with the vertical dashed line marking the τ₉₅ stabilization point (A). The standard deviation of P1N1 amplitude across incremental averages with exponential fit is shown below, from which P2Pτ₉₅ is calculated (B).
2.5 Statistical Analysis
All analyses were conducted using RStudio (version 2024.12.1+563; R Foundation for Statistical Computing, Vienna, Austria) and statistical significance was set to 0.05. The number of identifiable peaks (P1, N1, P2, N2) and the latencies of the peaks were summarized using descriptive statistics. To compare the effect of electrode configuration on peak-to-peak amplitudes (P1N1, N1P2, P2N2), we used linear mixed-effects models (LMERs) using the lmer function from the lme4 package (Bates et al., 2015), with p-values obtained via the lmerTest package (Kuznetsova et al., 2017) using Satterthwaite’s method. Peak-to-peak amplitudes of each complex (P1N1, N1P2, P2N2) were modelled as dependent variables. Electrode configuration was included as a fixed effect, and participants were included as a random intercept to account for repeated measures. Since female and male pudendal electrode configurations were not comparable, we performed separate LMERs for each group. The reference electrode configuration was CB for females (clitoral anode, bilateral cathodes) and GP for males (glans anode, proximal shaft cathode). GP was chosen for males as it reflects the most commonly used configuration in previous pudendal SEP literature (Williams et al., 2024). CB was selected for females because it engages both left and right pudendal branches simultaneously, with the anode on the clitoris (analogous to the male GP configuration). We log-transformed the peak-to-peak amplitude data prior to analysis to meet assumptions of normality and homogeneity of variance. Model assumptions for LMERs were assessed using residual and Q-Q plots, along with formal diagnostic tests from the performance (Lüdecke et al., 2021) and DHARMa packages (Hartig, 2022). These included checks for normality (via simulated residuals and uniformity tests) and overdispersion. If the model revealed a significant main effect, we conducted post-hoc pairwise comparisons between configurations using estimated marginal means. To account for multiple comparisons, we applied the Bonferroni correction to adjust the p-value based on the total number of possible pairwise contrasts conducted across three separate models. For females, there are 15 possible pairwise comparisons across 6 configurations, so we adjusted p-values based on a total of 45 possible comparisons. For the male data, there are 6 possible pairwise comparisons across 4 configurations, so we adjusted p-values based on a total of 18 possible comparisons.
To determine whether peak-to-peak amplitudes differed between sexes, we first averaged the amplitude across all electrode configurations for each participant. We then performed independent t-tests comparing females and males for each SEP complex. To correct for multiple comparisons across the three complexes, we used a Bonferroni-adjusted of 0.017 (0.05/3).
To evaluate differences in tolerability scores across pudendal configurations, we used cumulative link mixed models (CLMMs), which are appropriate for ordinal data. We fit the female and male data separately using the clmm function from the ordinal package (Christensen, 2019), with tolerability scores modelled as a function of pudendal electrode configuration and participants included as a random intercept. Tibial trials were excluded from these models. For females, we set the reference to BC instead of CB, due to reduced variability and clustering in CB tolerability scores. For males, we set the reference configuration to GP to align with our LMER analysis. If the model revealed a significant main effect, we conducted post hoc pairwise contrasts using estimated marginal means. To account for multiple comparisons, we Bonferroni- adjusted p-values based on the number of possible pairwise contrasts across the different electrode configurations as described above (6 comparisons for males and 15 for females).
To evaluate differences in tolerability scores based on nerve type (pudendal (averaged across all configurations) vs tibial) and sex (female vs male), we fit a combined CLMM. We modelled tolerability scores as a function of nerve type, sex, and their interaction, with a random intercept for participants to account for repeated measures. We selected tibial as the reference level for nerve type, as it was the only configuration common in both sexes, and male was set as the reference level for sex. We directly compared tolerability scores between tibial and pudendal stimulation within each sex using post hoc pairwise tests. To correct for multiple comparisons, we multiplied the resulting p-values by 2 to account for the two primary contrasts of interest.
To determine the validity of our method to establish response stability (τ95), we used a paired t-test for each SEP complex to compare the P2P600 and P2Pτ95 amplitudes. Only trials where τ95 ≤ 600 stimuli could be included in this part of the analysis. As above, we log- transformed the P2Pτ95 data to meet assumptions of normality and homogeneity of variance. To correct for multiple comparisons across the three SEP complexes per sex, we used a Bonferroni- adjusted of 0.017 (0.05/3).
We then evaluated configuration-dependent effects on response stability by modelling τ95 following the design of the LMER models described above. For this analysis, we included trials where τ95 ≤ 2048. If the model revealed a significant main effect, we conducted post hoc pairwise contrasts using estimated marginal means. To account for multiple comparisons, we applied a Bonferroni correction as described above, to account for 3 complexes x 15 possible pairwise comparisons in females and 3 complexes x 6 comparisons in males.
We also explored the response stability of pudendal SEP responses compared to that of tibial SEP responses by paired t-tests to evaluate differences in τ95 across stimulation sites for each complex. Only trials where τ95 ≤ 2048 stimuli were included in this analysis. To correct for multiple comparisons across the different complexes, we used a Bonferroni-adjusted of 0.017 (0.05/3). To evaluate the reliability of the pudendal SEP procedure, we conducted a test-retest analysis on the latencies and peak-to-peak amplitudes. We averaged waveform observations across configurations to ensure each participant contributed one set of paired data per measure. To determine the reliability of latencies and amplitudes between an initial test and retest, we used an absolute-agreement, single-measure two-way mixed-effect intraclass coefficient (ICC3,1) model. We interpreted ICC results via reference to conservative ratings presented by Koo and Li (2016). Bland-Altman confidence values and limits of agreement (mean difference ± 2SD) were calculated, and the mean differences tested against 0 (one-sample t-test) to evaluate bias between sessions (Bland & Altman, 1986).
Forty-three individuals (20 females, 23 males) enrolled in this study. One male participant withdrew from the study due to discomfort with the electrical stimulation. The remaining 42 participants were included in all subsequent analyses. The mean age of the females was 25.3 years (range: 19-36) and males 25.7 years (range: 20-43). All females were nulliparous, and 12 males were circumcised.
3.1 Waveform detection
Figure 3 summarizes the detectability of the pudendal SEP peaks (P1, N1, P2, N2) across all electrode configurations in every participant. The detectability of tibial SEP responses is included as a reference. Among the females, there were 13 trials from seven participants with undetectable P1 and N1 peaks, 15 trials from eight participants with undetectable P2 peaks, and 26 trials from 12 participants had undetectable N2 peaks. In the males, there were 10 trials from four participants with undetectable P1 peak, 8 trials from three participants with undetectable N1 and P2 peaks, and 13 trials from eight participants with undetectable N2 peak. Overall, visual inspection of Figure 3 suggests that the variability across participants, and the proportion of trials that had to be excluded either for insufficient stimulus intensity or lack of identifiable waveform, was greater in the female participants (n=65) than the males (n=39).

Figure 3: Detectability of SEP peaks (P1, N1, P2, N2) across pudendal and tibial nerve stimulation configurations in female (A) and male (B) participants. Each cell displays the xPT value for a given configuration and peak. White cells indicate detectable peaks; black cells indicate undetectable peaks; grey cells with horizontal lines indicate excluded trials (xPT less than 2 or xPT greater than 3).
3.2 Latency
Across all pudendal configurations in all participants, the mean latency of P1 was 41.3 ms (SD: 3.0; range: 32.0-50.0 ms), N1 was 52.4 (SD: 3.4; range: 44.2-62.4 ms), P2 was 64.1 ms (SD: 3.4; range: 55.4-72.4 ms), and N2 was 77.5 ms (SD: 4.0; range: 69.6 - 91.6 ms). In comparison, the mean tibial SEP P1 latency was 44.2 ms (SD: 4.0; range: 36.8–52.0 ms), N1 was 54.5 ms (SD: 4.8; range: 45.0–66.2 ms), P2 was 66.0 ms (SD: 5.2; range: 55.0–76.2 ms), and N2 was 80.0 ms (SD: 5.7; range: 67.0–91.4 ms). The latencies of all the pudendal and tibial SEP waveform components grouped by electrode configuration and sex are presented in Table 2.
| Configuration | P1 (ms) | N1 (ms) | P2 (ms) | N2 (ms) |
| Female | ||||
| CB | 39.8 ± 3.2 (34.6 – 45.0) | 51.5 ± 3.8 (44.2 - 59.6) | 63.4 ± 4.0 (56.6 – 72.0) | 76.1 ± 2.7 (72.2 - 81.2) |
| BC | 38.8 ± 3.1 (33.0 – 43.0) | 50.8 ± 2.6 (47.0 - 54.4) | 62.5 ± 3.1 (55.4 - 67) | 75.0 ± 3.4 (70.0 - 80.8) |
| CL | 40.6 ± 3.0 (35.0 - 46.6) | 52.0 ± 2.9 (46.0 – 58.0) | 64.6 ± 3.2 (59.0 - 71.8) | 77.9 ± 5.8 (70.0 - 91.6) |
| LC | 39.7 ± 3.2 (34.8 - 47.2) | 51.3 ± 3.3 (47.0 - 58.6) | 63 ± 3 (58.6 - 68.8) | 76.2 ± 4.2 (71.2 - 84.4) |
| CR | 40.7 ± 3.6 (34.8 - 48.2) | 51.8 ± 2.8 (47.2 – 58.0) | 64 ± 3.2 (60.2 - 70.8) | 78.5 ± 6.3 (70.2 - 90.6) |
| RC | 39.9 ± 3.9 (34.6 – 50.0) | 51.0 ± 2.9 (47.4 – 58.0) | 62.8 ± 2.2 (59.0 – 67.0) | 75.1 ± 2.7 (69.6 - 79.4) |
| Tibial | 44.3 ± 3.0 (40.6 – 51.0) | 54.5 ± 3.4 (49.8 – 61.0) | 66.6 ± 4.3 (57.6 - 74.8) | 78.8 ± 5.2 (67.0 - 86.4) |
| Male | ||||
| PG | 42.5 ± 3.3 (32.0 - 46.4) | 53.3 ± 3.6 (47.4 - 61.4) | 64.8 ± 3.1 (60.0 - 72.4) | 78.6 ± 5.0 (70.6 - 87.4) |
| GP | 43.4 ± 2.7 (37.6 - 49.4) | 54.8 ± 4.0 (45.0 - 62.4) | 65.8 ± 3.6 (59.6 - 72.2) | 80.5 ± 3.4 (75.2 – 87.0) |
| PM | 41.7 ± 2.3 (36.8 - 44.6) | 52.4 ± 2.9 (47.0 - 56.6) | 64.0 ± 3.4 (56.2 - 69.2) | 78.6 ± 4.1 (72.4 - 85.2) |
| MP | 42.2 ± 2.5 | 53.4 ± 3.8 | 64.2 ± 4.3 | 78.7 ± 4.0 |
| Configuration | P1 (ms) | N1 (ms) | P2 (ms) | N2 (ms) |
| (36.4 - 45.4) | (44.4 – 61.0) | (52.0 - 69.4) | (71.0 - 84.6) | |
| Tibial | 44.2 ± 4.7 (36.8 – 52.0) | 54.5 ± 5.9 (45.0 - 66.2) | 65.3 ± 6.0 (55.0 - 76.2) | 81.0 ± 6.1 (70.6 - 91.4) |
Table 2: Latency (ms) of each SEP peak, reported as mean ± standard deviation (range).
3.3 Effect of electrode configuration on pudendal SEP waveforms
Figure 4 plots the peak-to-peak amplitude of each pudendal SEP waveform complex in females and males. For the P1N1 complex, the LMER analysis revealed no significant effect of electrode configuration on SEP peak-to-peak amplitude in female participants (p ≥ 0.2; marginal R² = 0.02; f² = 0.02; Fig. 4A). The mean P1N1 amplitude across all electrode configurations in females was 1.3 μV (SD: 1.0; range: 0.1–5.1 μV). There was also no significant effect of electrode configuration among the male participants (p ≥ 0.6; marginal R² = 0.01; f² = 0.01; Fig. 4D). The mean P1N1 amplitude across all electrode configurations in males was 1.1 μV (SD: 1.0; range: 0.1–5.0 μV).
There was also no significant effect of electrode configuration on the N1P2 complex in females (p greater than 0.07; marginal R² = 0.02; f² = 0.02; Fig. 4B) or males (p greater than 0.05; marginal R² = 0.03; f² = 0.03; Fig. 4E) and no effect of electrode configuration on the P2N2 complex in either females (p ≥ 0.3; marginal R² = 0.01; f² = 0.01; Fig. 4C) or males (p greater than 0.4; marginal R² = 0.003; f² = 0.003; Fig. 4F). The mean amplitude of the N1P2 complex across all electrode configurations was 1.1 μV (SD: 1.0; range: 0.2–5.5 μV) in females and 0.9 μV (SD: 0.7; range: 0.2–3.9 μV) in males. The mean amplitude of the P2N2 complex was 1.5 μV (SD: 2.3; range: 0.1–7.3 μV) in females and 1.2 μV (SD: 0.8; range: 0.2–3.9 μV) in males.
There were no sex-based differences observed for any complex (P1N1 complex: Δ = -0.1, t (32.5) = 0.6, p = 1.0, d = 0.2); N1P2 complex: Δ = -0.2, t (27) = 1.1, p = 0.8, d = 0.4); P2N2 complex: Δ = -0.1, t (29.7) = 0.4, p = 1.0, d = 0.1), all showing comparable peak-to-peak amplitudes between females and males.

Figure 4: Mean SEP peak-to-peak amplitudes and 95% confidence intervals for each pudendal and tibial configuration in female (top panel) and male (bottom panel) participants. Each column shows the distribution of P1N1, N1P2, and P2N2 complex amplitudes across all stimulation configurations.
3.4 Tolerability to protocol
Figure 5 presents the tolerability scores for females and males for each pudendal configuration and tibial nerve stimulation. The mean tolerability score across all pudendal configurations was 4.3 (SD: 1.9; range: 1-9) in females and 4.1 (SD: 1.7; range: 1-8) in males. As a comparison, the mean tolerability score to tibial nerve stimulation was 2.5 (SD: 1.3; range: 1-5) in females and 3.6 (SD: 1.9; range: 1-8) in males.

Figure 5: Mean tolerability scores and 95% confidence intervals across pudendal nerve stimulation configurations for females (A) and males (B). Tolerability was rated on a scale from 1 (most tolerable) to 10 (least tolerable).
CLMMs revealed significant differences in tolerability scores across pudendal nerve stimulation configurations for both female and male participants. In females, all pudendal configurations were rated as significantly more tolerable than CB. Post hoc pairwise comparisons indicated that most configuration pairs differed significantly from each other (p less than 0.001), with the CB configuration being rated least tolerable overall (Table 3).
| Contrast | BC | CL | LC | CR | RC |
CB | 4.3 [4.25–4.29] <0> | 2.7 [2.67–2.70] <0> | 1.4 [1.38–1.39] <0> | 4.9 [4.84–4.89] <0> | 2.9 [2.90–2.93] <0> |
BC | 0.6 [0.62–0.63] <0> | 0.32 [0.32–0.33] <0> | 1.1 [1.13–1.15] <0> | 0.7 [0.68–0.69] <0> | |
CL | 0.5 [0.51–0.52] <0> | 1.8 [1.80–1.83] <0> | 1.1 [1.08–1.10] <0> | ||
LC | 3.5 [3.50–3.56] <0> | 2.1 [2.10–2.13] <0> | |||
CR | 0.6 [0.59–0.60] <0> |
Table 3: Pairwise CLMM contrasts comparing tolerability scores between pudendal configurations in female participants. Each cell shows the odds ratio (row vs. column), 95% confidence interval, and p-value. Odds ratios greater than1 indicate higher odds of reporting higher tolerability scores (less tolerable) for the row configuration relative to the column configuration.
In males, post hoc pairwise comparisons indicated that all configuration pairs differ significantly from each other (p less than 0.05). The GP configuration was rated least tolerable overall, whereas the PM configuration was rated most tolerable (Table 4).
| Contrast | PG | PM | MP | ||
GP | 1.9 [1.85–1.89] <0> | 2.8 [2.73–2.78] <0> | 1.9 [1.91–1.94] <0> | ||
PG | 1.5 [1.45–1.49] <0> | 1.0 [1.02–1.04] <0> | |||
PM |
| 0.7 [0.69–0.71] <0> | |||
Table 4: Pairwise CLMM contrasts comparing tolerability scores between pudendal configurations in male participants. Each cell shows the odds ratio (row vs. column), 95% confidence interval, and p-value. Odds ratios greater than1 indicate higher odds of reporting higher tolerability scores (less tolerable) for the row configuration relative to the column configuration.
Our combined CLMM revealed a significant interaction between nerve type and sex (odds ratio (OR) [95CI] = 11.0 [2.2, 54.8]; p = 0.004), indicating that the effect of nerve type on tolerability differed between females and males. Among females, tolerability scores were lower for tibial compared to pudendal stimulation, but the contrast was ten times less than that of the males (OR [95CI] = 0.03 [0.01, 0.2]; p less than 0.001). Similarly, males also rated tibial stimulation as significantly more tolerable than pudendal stimulation (OR [95CI] = 0.3 [0.1, 1.2]; p = 0.047).
3.5 Response stability
Out of 227 trials across 42 participants, data from 167 trials could be fit to the exponential function with R2 ≥ 0.80. Five trials yielded τ95 values ≥ 2048 stimuli, so these were removed from this part of the analysis. From the remaining data, τ₉₅ values were calculated for each configuration, with each participant contributing one value per configuration. These values were then pooled across all participants and configurations. On average, we found that pudendal SEP responses stabilized at values well below 600 stimuli (females τ95 = 282, SD: 237, range: 17–1200; males τ95 = 324, SD: 206, range: 47–784).
For each of the pudendal SEP complexes, we compared the P2P600 and P2Pτ95 amplitudes. The P2P600 amplitudes were consistently lower than the P2Pτ95 amplitudes (Fig. 6), resulting in significant differences for the P1N1 complex (Δ = -0.3, t (16) = -4.5, p less than 0.001, d = -0.3) and N1P2 complex (Δ = -0.2, t(17) = -3.0, p = 0.01, d = -0.2), while no difference was observed for the P2N2 complex (Δ = -0.1, t(17) = -0.7, p = 1.0, d = -0.05) in females. Similarly in males, the P2P600 amplitudes was consistently lower than P2Pτ95 amplitudes for the P1N1 complex (Δ = -0.1, t (19) = -2.8, p = 0.02, d = -0.2), N1P2 complex (Δ = -0.1, t (20) = -2.1, p =0.1, d = -0.1), and P2N2 complex (Δ = -0.1, t (19) = -2.6, p = 0.04, d = -0.2).

Figure 6: Comparison of the P2P600 amplitudes versus the P2Pτ95 amplitudes across all three SEP complexes, shown separately for female (A) and male (B) participants. Across configurations, the P2P600 amplitudes were consistently lower than the P2Pτ95 amplitudes.
Figure 7 presents the mean τ95 for the pudendal and tibial configurations across SEP complexes, separated by sex. There was no effect of electrode configuration on τ95 in both females (P1N1 complex: p ≥ 0.2; marginal R² = 0.1; f² = 0.1; N1P2 complex: p ≥ 0.2; marginal
R² = 0.1; f² = 0.1; P2N2 complex: p ≥ 0.6; marginal R² = 0.03; f² = 0.03), or males (P1N1 complex: p ≥ 0.2; marginal R² = 0.1; f² = 0.1; N1P2 complex: p ≥ 0.4; marginal R² = 0.01; f² = 0.01; P2N2 complex: p ≥ 0.9; marginal R² = 0.001; f² = 0.001).
As a comparison, for the tibial SEP responses, the mean τ95 across all participants was 311 (SD: 249; range: 17–1132). There was no difference in τ95 between pudendal and tibial stimulation for any of the complexes (P1N1 complex: Δ = -41.7, t (28) = -0.8, p = 1.0, d = -0.2; N1P2 complex: Δ = -32.2, t (29) = -0.6, p = 1.0, d = -0.2; P2N2 complex: Δ = -74.8, t (29) = - 1.0, p = 1.0, d = -0.2).

Figure 7: Mean τ₉₅ values with 95% confidence intervals for each pudendal electrode configuration across the three SEP complexes (P1N1, N1P2, P2N2), presented separately for female (A, B, and C) and male (D, E, and F) participants.
3.6 Test-retest reliability
Twenty-seven participants (12 females, 15 males) were available for retesting. The mean interval between sessions was 84 days (SD: 34, range: 44–154). Three participants each had one trial excluded due to inability to tolerate stimulation at or above 2× PT.
In females, latency reliability ranged from moderate to good, with the lowest reproducibility observed for N2 (ICC [95CI] = 0.51 [−0.1 to 0.9], mean difference = −1.0 ms, SD: 3.2) and the highest for P1 (ICC [95CI] = 0.8 [0.4 to 0.9], mean difference = −1.1 ms, SD: 2.2). Males demonstrated generally higher reliability across latency measures (ICCs: 0.7–0.9; mean differences: −0.1 to 0.4 ms, SD: 1.2–3.0).
Peak-to-peak amplitude reproducibility was more variable, ranging from poor to moderate in females (ICCs: 0.4–0.5; mean differences: 0.1–0.3 µV, SD: 0.8–1.1) and moderate to good in males (ICCs: 0.7–0.8; mean differences = 0.02–0.1 µV, SD: 0.4–0.7). For all measures, mean differences between sessions did not differ from zero, indicating no systematic bias between visits. Bland–Altman plots are provided in the supplementary materials and show no detectable difference in agreement across test days for pudendal configuration or sex.
| Bland-AltmanConfidence | IntraclassCorrelation | ||||||
| 95% Confidence Interval | |||||||
| Sex | Measure | n | Mean Difference ± 2SD | ICC | Lower | Upper | |
| Female | P1 Latency (ms) | 12 | -1.14 ± 4.34 | 0.79 | 0.41 | 0.93 | |
N1 Latency (ms) | 12 | -0.46 ± 4.06 | 0.74 | 0.32 | 0.92 | ||
| P2 Latency (ms) | 12 | -0.31 ± 4.53 | 0.66 | 0.17 | 0.89 | ||
N2 Latency (ms) | 10 | -1.07 ± 6.45 | 0.51 | -0.13 | 0.85 | ||
P1-N1 Amplitude (µv) | 12 | 0.13 ± 1.61 | 0.43 | -0.16 | 0.79 | ||
N1-P2 Amplitude (µv) | 12 | 0.16 ± 1.65 | 0.53 | -0.03 | 0.84 | ||
P2-N2 Amplitude (µv) | 10 | 0.27 ± 2.27 | 0.49 | -0.16 | 0.84 | ||
| Male | P1 Latency (ms) | 15 | -0.16 ± 2.38 | 0.88 | 0.69 | 0.96 | |
N1 Latency (ms) | 15 | 0.14 ± 2.42 | 0.93 | 0.79 | 0.97 | ||
| P2 Latency (ms) | 15 | -0.11 ± 2.67 | 0.90 | 0.73 | 0.97 | ||
N2 Latency (ms) | 15 | 0.38 ± 6.08 | 0.74 | 0.39 | 0.91 | ||
P1-N1 Amplitude (µv) | 15 | 0.02 ± 1.44 | 0.74 | 0.38 | 0.90 | ||
N1-P2 Amplitude (µv) | 15 | 0.02 ± 0.76 | 0.84 | 0.60 | 0.94 | ||
P2-N2 Amplitude (µv) | 15 | 0.07 ± 0.78 | 0.81 | 0.51 | 0.93 | ||
Table 5: Test-retest reliability results for latency and amplitude measures.
The purpose of this study was to investigate the effects of stimulating electrode configuration and sex on pudendal SEP peak-to-peak amplitude, tolerability, response stability, and test-retest reliability in healthy adults. The specific electrode configuration used to stimulate the pudendal nerve did not affect peak-to-peak amplitude for any of the SEP complexes in either females or males. In contrast, tolerability scores varied across electrode configurations, with the CB configuration being rated as the least tolerable in females and the GP configuration being rated as the least tolerable in males. Participants generally rated pudendal stimulation as less tolerable than tibial stimulation, with females reporting a larger difference in tolerability of pudendal vs. tibial stimulation than males. On average, peak-to-peak amplitudes stabilized around 300 stimuli (females: 282, males: 324). Response stability did not differ across electrode configurations or between pudendal and tibial SEP waveforms. Finally, test-retest reliability was better for latencies than for peak-to-peak amplitudes, with narrower confidence intervals and higher ICCs overall. We found no evidence of systematic bias between sessions.
4.1 Physiological and practical implications of electrode configuration
The consistency of pudendal SEP amplitudes across configurations, despite differences in polarity and electrode placement, suggests that pudendal SEP waveforms are robust to electrode configuration variability. Electrodiagnostic guidelines often specify that the cathode should be placed proximal to the anode, in order to avoid anodal blocking, a mechanism by which a proximally placed anode may hyperpolarize nerve fibers and inhibit action potential propagation (Brindley & Craggs, 1980; Cruccu et al., 2008; Tavee, 2019; Toleikis et al., 2024; Vuckovic et al., 2008). Notably, most of the evidence supporting anodal blocking stems from animal models and motor or autonomic nerve stimulation (Brindley & Craggs, 1980; Tosato et al., 2007).
However, several investigations in humans, including intraoperative and clinical SEP studies, have found no evidence of anodal block, reporting comparable responses with cathodal and anodal stimulation (Allison et al., 2022; Dreyer et al., 1993; Kanbayashi et al., 2017; Kirshblum et al., 1998; Winkler & Stålberg, 1988). Our results similarly suggest that anodal blocking did not affect the pudendal peak-to-peak amplitude, as amplitudes were not significantly different between configurations where the anode was placed proximally or distally relative to the cathode in both males and females. However, other studies have shown that the effectiveness of anodal blocks is highly dependent on stimulus intensity, where higher intensities, smaller electrodes, and smaller inter-electrode distances are more likely to result in anodal blocking (Ahmed et al., 2020; Brindley & Craggs, 1980; Vuckovic et al., 2008). Nevertheless, our results suggest that the stimulation intensity and electrode configurations used to elicit pudendal SEPs were insufficient to elicit anodal block.
Moreover, electrode configuration affected tolerability, which is a critical consideration for the feasibility of pudendal SEP recording protocols, particularly given the sensitive tissues innervated by the nerve. Discomfort can increase participant burden and risk incomplete datasets due to skipped trials or early withdrawal.
In males, the GP configuration, where the anode is positioned over the glans and the cathode along the penile shaft, has been the most commonly used setup in previous pudendal SEP studies (Williams et al., 2024). This convention likely arose from standard electrodiagnostic recommendations that the cathode be placed proximally to avoid potential anodal block (Brindley & Craggs, 1980; Cruccu et al., 2008). However, as noted earlier, our findings and previous human studies suggest that anodal blocking does not influence pudendal SEPs under typical stimulation parameters. Given that both configurations produced comparable amplitudes, the choice between GP and PG can therefore be guided by participant comfort.
We found the GP configuration to be significantly less tolerable than the PG. The glans mucosa contains a dense network of Aδ and C-fiber free nerve endings, which makes it highly sensitive to electrical stimulation (Shih et al., 2013). Finite-element modeling has demonstrated that peak current density is concentrated directly beneath the electrode and decays with depth and distance, with higher local current density associated with greater discomfort in superficial tissues (Sha et al., 2008). Applying this principle, when current enters through the glans in GP, the resulting steep and focused electric field gradient likely induces stronger depolarization of superficial nociceptors, producing a sharper and more uncomfortable sensation. When the glans lies under the cathode (PG), stimulation still activates pudendal afferents, but shifting the anodal entry point to the penile shaft may produce a more distributed electric field before it reaches the glans. This could reduce the sharp, surface-concentrated activation of nociceptors observed when the glans itself serves as the anode, potentially explaining why participants rated PG as more tolerable. These results suggest that although GP remains the traditional configuration, its use likely stems from earlier recommendations intended to prevent anodal block. Given that our data showed no evidence of such effects, PG configuration could offer a more participant-friendly alternative while maintaining comparable SEP amplitudes and latencies to GP configuration. Future studies could consider adopting this configuration when feasible.
In females, tolerability patterns appeared more nuanced. Participants rated CB as the least tolerable configuration overall, yet the other bilateral configuration, BC, was rated as more tolerable than all unilateral configurations except CR. This suggests that bilateral stimulation does not inherently reduce comfort, despite engaging a broader sensory field through stimulating both branches of the pudendal nerve simultaneously. As with males in the GP configuration, we suspect that the worse tolerability scores for CB stem from strong electric field gradients near the clitoris, where the anode sits. This abrupt entry point likely leads to sharper sensory activation and a more uncomfortable experience, especially when compared to BC, where polarity is reversed. However, because electrode placement was participant-guided, we could not confirm the precise relationship between the anode and clitoral hood across participants. Small shifts in electrode position could have contributed to variability in tolerability scores, and future studies using standardized placement protocols are needed to clarify the relative contributions of polarity and electrode location to tolerability.
4.2 SEP responses stabilized well before the 600-stimulus mark
Our findings demonstrate that the cumulative average of the pudendal SEP waveform amplitudes reached a steady state, on average, at 282 stimuli in females and 324 in males, indicating that reliable responses can be obtained with far fewer trials than traditionally recommended. While conventional guidelines recommend averaging approximately 500 stimuli for cortical SEPs and up to 2000 for spinal recordings (Cruccu et al., 2008), our data, derived from τ95 modelling of response stability, support that stimulus count may be reduced without compromising signal stability in healthy adults. The ability to acquire robust SEP waveforms with fewer stimuli has practical value. In clinical and research settings, long-duration protocols may increase participant burden, which may in turn make it difficult for individuals to remain still or complete all required trials. However, it is important to interpret these results in the context of existing literature. Williams et al. (2024) reported that studies involving healthy participants and those with urogenital dysfunction typically used a median of approximately 250 stimuli, about half the number recommended by earlier guidelines. Our findings support the adequacy of these shorter protocols and demonstrate that reliable pudendal SEPs can be obtained with fewer repetitions in healthy participants. Future work should examine whether similar efficiencies can be achieved in clinical populations.
4.3 Latency measures show greater reliability than amplitudes
Williams et al. (2024), in a systematic review of 132 studies investigating pudendal SEPs across healthy and clinical populations, found that latency was reported in 115 studies (87%), whereas amplitude was reported in only 46 studies (35%). This emphasis on latency likely reflects its established diagnostic and methodological advantages. Latency abnormalities are sensitive indicators of conduction integrity and neurological recovery (Cui et al., 2015; 2019), and latency parameters show lower inter-subject variability than amplitude, making them more suitable for defining normal reference values (Miura et al., 2003). Consistent with this, our results demonstrated that latency measures also exhibited higher test–retest reliability than amplitudes across both sexes.
From a practical standpoint, these findings suggest that latency and amplitude serve distinct purposes depending on the experimental or clinical context. As latency reflects the timing of neural conduction, it provides a stable and interpretable metric for longitudinal or diagnostic assessments, particularly in clinical populations where monitoring changes in conduction delay or recovery over time is relevant. In contrast, amplitude is more variable between sessions but remains highly informative within a single recording period, where it can capture acute modulations in cortical or spinal excitability. Thus, amplitude measures are likely more valuable for same-day or cross-sectional studies investigating physiological mechanisms or short-term intervention effects, whereas latency offers a reliable outcome for repeated assessments over longer timescales.
4.4 Sex-related differences in pudendal SEPs
We found no sex-based amplitude differences. Previous studies have reported mixed findings, with some showing slightly larger early components in females, such as N15 (Mase et al., 2025) or N20 (Anazawa et al., 2023), whereas others reported greater P25-N30 amplitudes in females (Demura et al., 2024). Importantly, each of these studies also found no significant sex differences in several other SEP components. Earlier work by Ikuta and Furuta (1982) and Kakigi and Shibasaki (1991) similarly found higher SEP amplitudes in females across several components, including P27 and P45, though later magnetoencephalography studies observed no corresponding sex differences in source strength (Huttunen et al., 1999). This suggests that apparent amplitude differences may partly reflect biophysical factors, such as skull or cranial volume-conduction properties, rather than intrinsic neurophysiological variation. Taken together, these studies indicate that sex-related effects on amplitude are component-specific and inconsistent across studies.
In contrast, we found shorter pudendal SEP latencies in female participants (Table 2), consistent with previous studies reporting shorter somatosensory evoked potentials peak latencies in females than males (Huttunen et al., 1999; Ikuta & Furuta, 1998; Mase et al., 2025; Pelliccioni et al., 2014). Previous research supports the role of conduction path length in influencing SEP latency. For instance, Mervaala et al. (1988) demonstrated a strong correlation between height and median-nerve SEP peak latencies and recommended adjusting for height, age, and sex when interpreting normative data. However, Pelliccioni et al. (2014) included height as a covariate and still observed significantly shorter pudendal SEP latencies in females, suggesting that factors beyond conduction distance, such as anatomical or central conduction differences, may also contribute. Further studies that combine electrophysiological and anatomical assessments are needed to clarify the relative contributions of body size, peripheral conduction, and central processing to sex-related latency differences.
The observed sex differences in the reliability of SEP amplitudes and latencies are likely shaped by both anatomical and methodological factors. The pudendal nerve gives rise to multiple sensory branches, including dorsal clitoral or penile, posterior labial or scrotal, and perineal cutaneous nerves, with documented variability in branching patterns, fiber counts, and axon myelination along its course (Tunçkol et al., 2024). While such variability exists in both sexes, its impact may be more pronounced in females, given the smaller stimulation area and the potential for slight shifts in skin tension or electrode position within the vulvar region. This anatomical complexity increases the challenge of consistently activating the same fiber populations across sessions. Moreover, studies have shown that small changes in electrode placement near the clitoris (e.g., at 3- and 9-o’clock positions) can significantly alter SEP amplitude (Cavalcanti et al., 2007), supporting the idea that even subtle shifts in electrode position, angle, or pressure between sessions could contribute to increased variability. By contrast, male external genitalia provide a more standardized stimulation surface, which may facilitate more consistent fiber recruitment across sessions. To improve reproducibility, particularly in female participants, future studies should consider implementing strategies such as having the same trained investigator place the electrodes across sessions. This approach mirrors clinical practice, where a neurophysiologist is typically responsible for ensuring consistent electrode placement.
Collectively, the findings of this study provide a comprehensive evaluation of pudendal SEP amplitude, latency, tolerability, and test-retest reliability across different pudendal electrode configurations. Our findings demonstrate that pudendal SEP amplitudes remained consistent across different electrode configurations and highlight the importance of ensuring consistent electrode placement, particularly in female participants. These results may help inform the development of more feasible and reliable SEP protocols for future clinical and research applications.
We sincerely thank the participants for their time and commitment to take part in this study. We are also grateful to Megan Henry, Lauren A. Platz, Julian Lui, and Oscar Ortiz for their support in data collection and analysis.
Funding
This work was supported by the Rick Hansen Foundation and the Canadian Institutes for Health Research (PTJ-166040). Authors JMA, WB, and SW were supported by the University of British Columbia’s Multidisciplinary Research Program in Medicine, the Work Learn International Undergraduate Research Award, and the Work Learn Program.
Declaration of Generative AI and AI-assisted technologies in the writing process
During the preparation of this work, the author occasionally used ChatGPT (OpenAI, GPT-5) to improve phrasing and clarity. All substantive content, analysis, and interpretation were written by the author. The final text was thoroughly reviewed and edited by the author, who takes full responsibility for the content of the publication.
Clearly Auctoresonline and particularly Psychology and Mental Health Care Journal is dedicated to improving health care services for individuals and populations. The editorial boards' ability to efficiently recognize and share the global importance of health literacy with a variety of stakeholders. Auctoresonline publishing platform can be used to facilitate of optimal client-based services and should be added to health care professionals' repertoire of evidence-based health care resources.
Journal of Clinical Cardiology and Cardiovascular Intervention The submission and review process was adequate. However I think that the publication total value should have been enlightened in early fases. Thank you for all.
Journal of Women Health Care and Issues By the present mail, I want to say thank to you and tour colleagues for facilitating my published article. Specially thank you for the peer review process, support from the editorial office. I appreciate positively the quality of your journal.
Journal of Clinical Research and Reports I would be very delighted to submit my testimonial regarding the reviewer board and the editorial office. The reviewer board were accurate and helpful regarding any modifications for my manuscript. And the editorial office were very helpful and supportive in contacting and monitoring with any update and offering help. It was my pleasure to contribute with your promising Journal and I am looking forward for more collaboration.
We would like to thank the Journal of Thoracic Disease and Cardiothoracic Surgery because of the services they provided us for our articles. The peer-review process was done in a very excellent time manner, and the opinions of the reviewers helped us to improve our manuscript further. The editorial office had an outstanding correspondence with us and guided us in many ways. During a hard time of the pandemic that is affecting every one of us tremendously, the editorial office helped us make everything easier for publishing scientific work. Hope for a more scientific relationship with your Journal.
The peer-review process which consisted high quality queries on the paper. I did answer six reviewers’ questions and comments before the paper was accepted. The support from the editorial office is excellent.
Journal of Neuroscience and Neurological Surgery. I had the experience of publishing a research article recently. The whole process was simple from submission to publication. The reviewers made specific and valuable recommendations and corrections that improved the quality of my publication. I strongly recommend this Journal.
Dr. Katarzyna Byczkowska My testimonial covering: "The peer review process is quick and effective. The support from the editorial office is very professional and friendly. Quality of the Clinical Cardiology and Cardiovascular Interventions is scientific and publishes ground-breaking research on cardiology that is useful for other professionals in the field.
Thank you most sincerely, with regard to the support you have given in relation to the reviewing process and the processing of my article entitled "Large Cell Neuroendocrine Carcinoma of The Prostate Gland: A Review and Update" for publication in your esteemed Journal, Journal of Cancer Research and Cellular Therapeutics". The editorial team has been very supportive.
Testimony of Journal of Clinical Otorhinolaryngology: work with your Reviews has been a educational and constructive experience. The editorial office were very helpful and supportive. It was a pleasure to contribute to your Journal.
Dr. Bernard Terkimbi Utoo, I am happy to publish my scientific work in Journal of Women Health Care and Issues (JWHCI). The manuscript submission was seamless and peer review process was top notch. I was amazed that 4 reviewers worked on the manuscript which made it a highly technical, standard and excellent quality paper. I appreciate the format and consideration for the APC as well as the speed of publication. It is my pleasure to continue with this scientific relationship with the esteem JWHCI.
This is an acknowledgment for peer reviewers, editorial board of Journal of Clinical Research and Reports. They show a lot of consideration for us as publishers for our research article “Evaluation of the different factors associated with side effects of COVID-19 vaccination on medical students, Mutah university, Al-Karak, Jordan”, in a very professional and easy way. This journal is one of outstanding medical journal.
Dear Hao Jiang, to Journal of Nutrition and Food Processing We greatly appreciate the efficient, professional and rapid processing of our paper by your team. If there is anything else we should do, please do not hesitate to let us know. On behalf of my co-authors, we would like to express our great appreciation to editor and reviewers.
As an author who has recently published in the journal "Brain and Neurological Disorders". I am delighted to provide a testimonial on the peer review process, editorial office support, and the overall quality of the journal. The peer review process at Brain and Neurological Disorders is rigorous and meticulous, ensuring that only high-quality, evidence-based research is published. The reviewers are experts in their fields, and their comments and suggestions were constructive and helped improve the quality of my manuscript. The review process was timely and efficient, with clear communication from the editorial office at each stage. The support from the editorial office was exceptional throughout the entire process. The editorial staff was responsive, professional, and always willing to help. They provided valuable guidance on formatting, structure, and ethical considerations, making the submission process seamless. Moreover, they kept me informed about the status of my manuscript and provided timely updates, which made the process less stressful. The journal Brain and Neurological Disorders is of the highest quality, with a strong focus on publishing cutting-edge research in the field of neurology. The articles published in this journal are well-researched, rigorously peer-reviewed, and written by experts in the field. The journal maintains high standards, ensuring that readers are provided with the most up-to-date and reliable information on brain and neurological disorders. In conclusion, I had a wonderful experience publishing in Brain and Neurological Disorders. The peer review process was thorough, the editorial office provided exceptional support, and the journal's quality is second to none. I would highly recommend this journal to any researcher working in the field of neurology and brain disorders.
Dear Agrippa Hilda, Journal of Neuroscience and Neurological Surgery, Editorial Coordinator, I trust this message finds you well. I want to extend my appreciation for considering my article for publication in your esteemed journal. I am pleased to provide a testimonial regarding the peer review process and the support received from your editorial office. The peer review process for my paper was carried out in a highly professional and thorough manner. The feedback and comments provided by the authors were constructive and very useful in improving the quality of the manuscript. This rigorous assessment process undoubtedly contributes to the high standards maintained by your journal.
International Journal of Clinical Case Reports and Reviews. I strongly recommend to consider submitting your work to this high-quality journal. The support and availability of the Editorial staff is outstanding and the review process was both efficient and rigorous.
Thank you very much for publishing my Research Article titled “Comparing Treatment Outcome Of Allergic Rhinitis Patients After Using Fluticasone Nasal Spray And Nasal Douching" in the Journal of Clinical Otorhinolaryngology. As Medical Professionals we are immensely benefited from study of various informative Articles and Papers published in this high quality Journal. I look forward to enriching my knowledge by regular study of the Journal and contribute my future work in the field of ENT through the Journal for use by the medical fraternity. The support from the Editorial office was excellent and very prompt. I also welcome the comments received from the readers of my Research Article.
Dear Erica Kelsey, Editorial Coordinator of Cancer Research and Cellular Therapeutics Our team is very satisfied with the processing of our paper by your journal. That was fast, efficient, rigorous, but without unnecessary complications. We appreciated the very short time between the submission of the paper and its publication on line on your site.
I am very glad to say that the peer review process is very successful and fast and support from the Editorial Office. Therefore, I would like to continue our scientific relationship for a long time. And I especially thank you for your kindly attention towards my article. Have a good day!
"We recently published an article entitled “Influence of beta-Cyclodextrins upon the Degradation of Carbofuran Derivatives under Alkaline Conditions" in the Journal of “Pesticides and Biofertilizers” to show that the cyclodextrins protect the carbamates increasing their half-life time in the presence of basic conditions This will be very helpful to understand carbofuran behaviour in the analytical, agro-environmental and food areas. We greatly appreciated the interaction with the editor and the editorial team; we were particularly well accompanied during the course of the revision process, since all various steps towards publication were short and without delay".
I would like to express my gratitude towards you process of article review and submission. I found this to be very fair and expedient. Your follow up has been excellent. I have many publications in national and international journal and your process has been one of the best so far. Keep up the great work.
We are grateful for this opportunity to provide a glowing recommendation to the Journal of Psychiatry and Psychotherapy. We found that the editorial team were very supportive, helpful, kept us abreast of timelines and over all very professional in nature. The peer review process was rigorous, efficient and constructive that really enhanced our article submission. The experience with this journal remains one of our best ever and we look forward to providing future submissions in the near future.
I am very pleased to serve as EBM of the journal, I hope many years of my experience in stem cells can help the journal from one way or another. As we know, stem cells hold great potential for regenerative medicine, which are mostly used to promote the repair response of diseased, dysfunctional or injured tissue using stem cells or their derivatives. I think Stem Cell Research and Therapeutics International is a great platform to publish and share the understanding towards the biology and translational or clinical application of stem cells.
I would like to give my testimony in the support I have got by the peer review process and to support the editorial office where they were of asset to support young author like me to be encouraged to publish their work in your respected journal and globalize and share knowledge across the globe. I really give my great gratitude to your journal and the peer review including the editorial office.
I am delighted to publish our manuscript entitled "A Perspective on Cocaine Induced Stroke - Its Mechanisms and Management" in the Journal of Neuroscience and Neurological Surgery. The peer review process, support from the editorial office, and quality of the journal are excellent. The manuscripts published are of high quality and of excellent scientific value. I recommend this journal very much to colleagues.
Dr.Tania Muñoz, My experience as researcher and author of a review article in The Journal Clinical Cardiology and Interventions has been very enriching and stimulating. The editorial team is excellent, performs its work with absolute responsibility and delivery. They are proactive, dynamic and receptive to all proposals. Supporting at all times the vast universe of authors who choose them as an option for publication. The team of review specialists, members of the editorial board, are brilliant professionals, with remarkable performance in medical research and scientific methodology. Together they form a frontline team that consolidates the JCCI as a magnificent option for the publication and review of high-level medical articles and broad collective interest. I am honored to be able to share my review article and open to receive all your comments.
“The peer review process of JPMHC is quick and effective. Authors are benefited by good and professional reviewers with huge experience in the field of psychology and mental health. The support from the editorial office is very professional. People to contact to are friendly and happy to help and assist any query authors might have. Quality of the Journal is scientific and publishes ground-breaking research on mental health that is useful for other professionals in the field”.
Dear editorial department: On behalf of our team, I hereby certify the reliability and superiority of the International Journal of Clinical Case Reports and Reviews in the peer review process, editorial support, and journal quality. Firstly, the peer review process of the International Journal of Clinical Case Reports and Reviews is rigorous, fair, transparent, fast, and of high quality. The editorial department invites experts from relevant fields as anonymous reviewers to review all submitted manuscripts. These experts have rich academic backgrounds and experience, and can accurately evaluate the academic quality, originality, and suitability of manuscripts. The editorial department is committed to ensuring the rigor of the peer review process, while also making every effort to ensure a fast review cycle to meet the needs of authors and the academic community. Secondly, the editorial team of the International Journal of Clinical Case Reports and Reviews is composed of a group of senior scholars and professionals with rich experience and professional knowledge in related fields. The editorial department is committed to assisting authors in improving their manuscripts, ensuring their academic accuracy, clarity, and completeness. Editors actively collaborate with authors, providing useful suggestions and feedback to promote the improvement and development of the manuscript. We believe that the support of the editorial department is one of the key factors in ensuring the quality of the journal. Finally, the International Journal of Clinical Case Reports and Reviews is renowned for its high- quality articles and strict academic standards. The editorial department is committed to publishing innovative and academically valuable research results to promote the development and progress of related fields. The International Journal of Clinical Case Reports and Reviews is reasonably priced and ensures excellent service and quality ratio, allowing authors to obtain high-level academic publishing opportunities in an affordable manner. I hereby solemnly declare that the International Journal of Clinical Case Reports and Reviews has a high level of credibility and superiority in terms of peer review process, editorial support, reasonable fees, and journal quality. Sincerely, Rui Tao.
Clinical Cardiology and Cardiovascular Interventions I testity the covering of the peer review process, support from the editorial office, and quality of the journal.
Clinical Cardiology and Cardiovascular Interventions, we deeply appreciate the interest shown in our work and its publication. It has been a true pleasure to collaborate with you. The peer review process, as well as the support provided by the editorial office, have been exceptional, and the quality of the journal is very high, which was a determining factor in our decision to publish with you.
The peer reviewers process is quick and effective, the supports from editorial office is excellent, the quality of journal is high. I would like to collabroate with Internatioanl journal of Clinical Case Reports and Reviews journal clinically in the future time.
Clinical Cardiology and Cardiovascular Interventions, I would like to express my sincerest gratitude for the trust placed in our team for the publication in your journal. It has been a true pleasure to collaborate with you on this project. I am pleased to inform you that both the peer review process and the attention from the editorial coordination have been excellent. Your team has worked with dedication and professionalism to ensure that your publication meets the highest standards of quality. We are confident that this collaboration will result in mutual success, and we are eager to see the fruits of this shared effort.
Dear Dr. Jessica Magne, Editorial Coordinator 0f Clinical Cardiology and Cardiovascular Interventions, I hope this message finds you well. I want to express my utmost gratitude for your excellent work and for the dedication and speed in the publication process of my article titled "Navigating Innovation: Qualitative Insights on Using Technology for Health Education in Acute Coronary Syndrome Patients." I am very satisfied with the peer review process, the support from the editorial office, and the quality of the journal. I hope we can maintain our scientific relationship in the long term.
Dear Monica Gissare, - Editorial Coordinator of Nutrition and Food Processing. ¨My testimony with you is truly professional, with a positive response regarding the follow-up of the article and its review, you took into account my qualities and the importance of the topic¨.
Dear Dr. Jessica Magne, Editorial Coordinator 0f Clinical Cardiology and Cardiovascular Interventions, The review process for the article “The Handling of Anti-aggregants and Anticoagulants in the Oncologic Heart Patient Submitted to Surgery” was extremely rigorous and detailed. From the initial submission to the final acceptance, the editorial team at the “Journal of Clinical Cardiology and Cardiovascular Interventions” demonstrated a high level of professionalism and dedication. The reviewers provided constructive and detailed feedback, which was essential for improving the quality of our work. Communication was always clear and efficient, ensuring that all our questions were promptly addressed. The quality of the “Journal of Clinical Cardiology and Cardiovascular Interventions” is undeniable. It is a peer-reviewed, open-access publication dedicated exclusively to disseminating high-quality research in the field of clinical cardiology and cardiovascular interventions. The journal's impact factor is currently under evaluation, and it is indexed in reputable databases, which further reinforces its credibility and relevance in the scientific field. I highly recommend this journal to researchers looking for a reputable platform to publish their studies.
Dear Editorial Coordinator of the Journal of Nutrition and Food Processing! "I would like to thank the Journal of Nutrition and Food Processing for including and publishing my article. The peer review process was very quick, movement and precise. The Editorial Board has done an extremely conscientious job with much help, valuable comments and advices. I find the journal very valuable from a professional point of view, thank you very much for allowing me to be part of it and I would like to participate in the future!”
Dealing with The Journal of Neurology and Neurological Surgery was very smooth and comprehensive. The office staff took time to address my needs and the response from editors and the office was prompt and fair. I certainly hope to publish with this journal again.Their professionalism is apparent and more than satisfactory. Susan Weiner
My Testimonial Covering as fellowing: Lin-Show Chin. The peer reviewers process is quick and effective, the supports from editorial office is excellent, the quality of journal is high. I would like to collabroate with Internatioanl journal of Clinical Case Reports and Reviews.
My experience publishing in Psychology and Mental Health Care was exceptional. The peer review process was rigorous and constructive, with reviewers providing valuable insights that helped enhance the quality of our work. The editorial team was highly supportive and responsive, making the submission process smooth and efficient. The journal's commitment to high standards and academic rigor makes it a respected platform for quality research. I am grateful for the opportunity to publish in such a reputable journal.
My experience publishing in International Journal of Clinical Case Reports and Reviews was exceptional. I Come forth to Provide a Testimonial Covering the Peer Review Process and the editorial office for the Professional and Impartial Evaluation of the Manuscript.
I would like to offer my testimony in the support. I have received through the peer review process and support the editorial office where they are to support young authors like me, encourage them to publish their work in your esteemed journals, and globalize and share knowledge globally. I really appreciate your journal, peer review, and editorial office.
Dear Agrippa Hilda- Editorial Coordinator of Journal of Neuroscience and Neurological Surgery, "The peer review process was very quick and of high quality, which can also be seen in the articles in the journal. The collaboration with the editorial office was very good."
I would like to express my sincere gratitude for the support and efficiency provided by the editorial office throughout the publication process of my article, “Delayed Vulvar Metastases from Rectal Carcinoma: A Case Report.” I greatly appreciate the assistance and guidance I received from your team, which made the entire process smooth and efficient. The peer review process was thorough and constructive, contributing to the overall quality of the final article. I am very grateful for the high level of professionalism and commitment shown by the editorial staff, and I look forward to maintaining a long-term collaboration with the International Journal of Clinical Case Reports and Reviews.
To Dear Erin Aust, I would like to express my heartfelt appreciation for the opportunity to have my work published in this esteemed journal. The entire publication process was smooth and well-organized, and I am extremely satisfied with the final result. The Editorial Team demonstrated the utmost professionalism, providing prompt and insightful feedback throughout the review process. Their clear communication and constructive suggestions were invaluable in enhancing my manuscript, and their meticulous attention to detail and dedication to quality are truly commendable. Additionally, the support from the Editorial Office was exceptional. From the initial submission to the final publication, I was guided through every step of the process with great care and professionalism. The team's responsiveness and assistance made the entire experience both easy and stress-free. I am also deeply impressed by the quality and reputation of the journal. It is an honor to have my research featured in such a respected publication, and I am confident that it will make a meaningful contribution to the field.
"I am grateful for the opportunity of contributing to [International Journal of Clinical Case Reports and Reviews] and for the rigorous review process that enhances the quality of research published in your esteemed journal. I sincerely appreciate the time and effort of your team who have dedicatedly helped me in improvising changes and modifying my manuscript. The insightful comments and constructive feedback provided have been invaluable in refining and strengthening my work".
I thank the ‘Journal of Clinical Research and Reports’ for accepting this article for publication. This is a rigorously peer reviewed journal which is on all major global scientific data bases. I note the review process was prompt, thorough and professionally critical. It gave us an insight into a number of important scientific/statistical issues. The review prompted us to review the relevant literature again and look at the limitations of the study. The peer reviewers were open, clear in the instructions and the editorial team was very prompt in their communication. This journal certainly publishes quality research articles. I would recommend the journal for any future publications.
Dear Jessica Magne, with gratitude for the joint work. Fast process of receiving and processing the submitted scientific materials in “Clinical Cardiology and Cardiovascular Interventions”. High level of competence of the editors with clear and correct recommendations and ideas for enriching the article.
We found the peer review process quick and positive in its input. The support from the editorial officer has been very agile, always with the intention of improving the article and taking into account our subsequent corrections.
My article, titled 'No Way Out of the Smartphone Epidemic Without Considering the Insights of Brain Research,' has been republished in the International Journal of Clinical Case Reports and Reviews. The review process was seamless and professional, with the editors being both friendly and supportive. I am deeply grateful for their efforts.
To Dear Erin Aust – Editorial Coordinator of Journal of General Medicine and Clinical Practice! I declare that I am absolutely satisfied with your work carried out with great competence in following the manuscript during the various stages from its receipt, during the revision process to the final acceptance for publication. Thank Prof. Elvira Farina
Dear Jessica, and the super professional team of the ‘Clinical Cardiology and Cardiovascular Interventions’ I am sincerely grateful to the coordinated work of the journal team for the no problem with the submission of my manuscript: “Cardiometabolic Disorders in A Pregnant Woman with Severe Preeclampsia on the Background of Morbid Obesity (Case Report).” The review process by 5 experts was fast, and the comments were professional, which made it more specific and academic, and the process of publication and presentation of the article was excellent. I recommend that my colleagues publish articles in this journal, and I am interested in further scientific cooperation. Sincerely and best wishes, Dr. Oleg Golyanovskiy.
Dear Ashley Rosa, Editorial Coordinator of the journal - Psychology and Mental Health Care. " The process of obtaining publication of my article in the Psychology and Mental Health Journal was positive in all areas. The peer review process resulted in a number of valuable comments, the editorial process was collaborative and timely, and the quality of this journal has been quickly noticed, resulting in alternative journals contacting me to publish with them." Warm regards, Susan Anne Smith, PhD. Australian Breastfeeding Association.
Dear Jessica Magne, Editorial Coordinator, Clinical Cardiology and Cardiovascular Interventions, Auctores Publishing LLC. I appreciate the journal (JCCI) editorial office support, the entire team leads were always ready to help, not only on technical front but also on thorough process. Also, I should thank dear reviewers’ attention to detail and creative approach to teach me and bring new insights by their comments. Surely, more discussions and introduction of other hemodynamic devices would provide better prevention and management of shock states. Your efforts and dedication in presenting educational materials in this journal are commendable. Best wishes from, Farahnaz Fallahian.
Dear Maria Emerson, Editorial Coordinator, International Journal of Clinical Case Reports and Reviews, Auctores Publishing LLC. I am delighted to have published our manuscript, "Acute Colonic Pseudo-Obstruction (ACPO): A rare but serious complication following caesarean section." I want to thank the editorial team, especially Maria Emerson, for their prompt review of the manuscript, quick responses to queries, and overall support. Yours sincerely Dr. Victor Olagundoye.
Dear Ashley Rosa, Editorial Coordinator, International Journal of Clinical Case Reports and Reviews. Many thanks for publishing this manuscript after I lost confidence the editors were most helpful, more than other journals Best wishes from, Susan Anne Smith, PhD. Australian Breastfeeding Association.
Dear Agrippa Hilda, Editorial Coordinator, Journal of Neuroscience and Neurological Surgery. The entire process including article submission, review, revision, and publication was extremely easy. The journal editor was prompt and helpful, and the reviewers contributed to the quality of the paper. Thank you so much! Eric Nussbaum, MD
Dr Hala Al Shaikh This is to acknowledge that the peer review process for the article ’ A Novel Gnrh1 Gene Mutation in Four Omani Male Siblings, Presentation and Management ’ sent to the International Journal of Clinical Case Reports and Reviews was quick and smooth. The editorial office was prompt with easy communication.
Dear Erin Aust, Editorial Coordinator, Journal of General Medicine and Clinical Practice. We are pleased to share our experience with the “Journal of General Medicine and Clinical Practice”, following the successful publication of our article. The peer review process was thorough and constructive, helping to improve the clarity and quality of the manuscript. We are especially thankful to Ms. Erin Aust, the Editorial Coordinator, for her prompt communication and continuous support throughout the process. Her professionalism ensured a smooth and efficient publication experience. The journal upholds high editorial standards, and we highly recommend it to fellow researchers seeking a credible platform for their work. Best wishes By, Dr. Rakhi Mishra.
Dear Jessica Magne, Editorial Coordinator, Clinical Cardiology and Cardiovascular Interventions, Auctores Publishing LLC. The peer review process of the journal of Clinical Cardiology and Cardiovascular Interventions was excellent and fast, as was the support of the editorial office and the quality of the journal. Kind regards Walter F. Riesen Prof. Dr. Dr. h.c. Walter F. Riesen.
Dear Ashley Rosa, Editorial Coordinator, International Journal of Clinical Case Reports and Reviews, Auctores Publishing LLC. Thank you for publishing our article, Exploring Clozapine's Efficacy in Managing Aggression: A Multiple Single-Case Study in Forensic Psychiatry in the international journal of clinical case reports and reviews. We found the peer review process very professional and efficient. The comments were constructive, and the whole process was efficient. On behalf of the co-authors, I would like to thank you for publishing this article. With regards, Dr. Jelle R. Lettinga.
Dear Clarissa Eric, Editorial Coordinator, Journal of Clinical Case Reports and Studies, I would like to express my deep admiration for the exceptional professionalism demonstrated by your journal. I am thoroughly impressed by the speed of the editorial process, the substantive and insightful reviews, and the meticulous preparation of the manuscript for publication. Additionally, I greatly appreciate the courteous and immediate responses from your editorial office to all my inquiries. Best Regards, Dariusz Ziora
Dear Chrystine Mejia, Editorial Coordinator, Journal of Neurodegeneration and Neurorehabilitation, Auctores Publishing LLC, We would like to thank the editorial team for the smooth and high-quality communication leading up to the publication of our article in the Journal of Neurodegeneration and Neurorehabilitation. The reviewers have extensive knowledge in the field, and their relevant questions helped to add value to our publication. Kind regards, Dr. Ravi Shrivastava.
Dear Clarissa Eric, Editorial Coordinator, Journal of Clinical Case Reports and Studies, Auctores Publishing LLC, USA Office: +1-(302)-520-2644. I would like to express my sincere appreciation for the efficient and professional handling of my case report by the ‘Journal of Clinical Case Reports and Studies’. The peer review process was not only fast but also highly constructive—the reviewers’ comments were clear, relevant, and greatly helped me improve the quality and clarity of my manuscript. I also received excellent support from the editorial office throughout the process. Communication was smooth and timely, and I felt well guided at every stage, from submission to publication. The overall quality and rigor of the journal are truly commendable. I am pleased to have published my work with Journal of Clinical Case Reports and Studies, and I look forward to future opportunities for collaboration. Sincerely, Aline Tollet, UCLouvain.
Dear Ms. Mayra Duenas, Editorial Coordinator, International Journal of Clinical Case Reports and Reviews. “The International Journal of Clinical Case Reports and Reviews represented the “ideal house” to share with the research community a first experience with the use of the Simeox device for speech rehabilitation. High scientific reputation and attractive website communication were first determinants for the selection of this Journal, and the following submission process exceeded expectations: fast but highly professional peer review, great support by the editorial office, elegant graphic layout. Exactly what a dynamic research team - also composed by allied professionals - needs!" From, Chiara Beccaluva, PT - Italy.
Dear Maria Emerson, Editorial Coordinator, we have deeply appreciated the professionalism demonstrated by the International Journal of Clinical Case Reports and Reviews. The reviewers have extensive knowledge of our field and have been very efficient and fast in supporting the process. I am really looking forward to further collaboration. Thanks. Best regards, Dr. Claudio Ligresti
Dear Chrystine Mejia, Editorial Coordinator, Journal of Neurodegeneration and Neurorehabilitation. “The peer review process was efficient and constructive, and the editorial office provided excellent communication and support throughout. The journal ensures scientific rigor and high editorial standards, while also offering a smooth and timely publication process. We sincerely appreciate the work of the editorial team in facilitating the dissemination of innovative approaches such as the Bonori Method.” Best regards, Dr. Matteo Bonori.
I recommend without hesitation submitting relevant papers on medical decision making to the International Journal of Clinical Case Reports and Reviews. I am very grateful to the editorial staff. Maria Emerson was a pleasure to communicate with. The time from submission to publication was an extremely short 3 weeks. The editorial staff submitted the paper to three reviewers. Two of the reviewers commented positively on the value of publishing the paper. The editorial staff quickly recognized the third reviewer’s comments as an unjust attempt to reject the paper. I revised the paper as recommended by the first two reviewers.
Dear Maria Emerson, Editorial Coordinator, Journal of Clinical Research and Reports. Thank you for publishing our case report: "Clinical Case of Effective Fetal Stem Cells Treatment in a Patient with Autism Spectrum Disorder" within the "Journal of Clinical Research and Reports" being submitted by the team of EmCell doctors from Kyiv, Ukraine. We much appreciate a professional and transparent peer-review process from Auctores. All research Doctors are so grateful to your Editorial Office and Auctores Publishing support! I amiably wish our article publication maintained a top quality of your International Scientific Journal. My best wishes for a prosperity of the Journal of Clinical Research and Reports. Hope our scientific relationship and cooperation will remain long lasting. Thank you very much indeed. Kind regards, Dr. Andriy Sinelnyk Cell Therapy Center EmCell
Dear Editorial Team, Clinical Cardiology and Cardiovascular Interventions. It was truly a rewarding experience to work with the journal “Clinical Cardiology and Cardiovascular Interventions”. The peer review process was insightful and encouraging, helping us refine our work to a higher standard. The editorial office offered exceptional support with prompt and thoughtful communication. I highly value the journal’s role in promoting scientific advancement and am honored to be part of it. Best regards, Meng-Jou Lee, MD, Department of Anesthesiology, National Taiwan University Hospital.
Dear Editorial Team, Journal-Clinical Cardiology and Cardiovascular Interventions, “Publishing my article with Clinical Cardiology and Cardiovascular Interventions has been a highly positive experience. The peer-review process was rigorous yet supportive, offering valuable feedback that strengthened my work. The editorial team demonstrated exceptional professionalism, prompt communication, and a genuine commitment to maintaining the highest scientific standards. I am very pleased with the publication quality and proud to be associated with such a reputable journal.” Warm regards, Dr. Mahmoud Kamal Moustafa Ahmed
Dear Maria Emerson, Editorial Coordinator of ‘International Journal of Clinical Case Reports and Reviews’, I appreciate the opportunity to publish my article with your journal. The editorial office provided clear communication during the submission and review process, and I found the overall experience professional and constructive. Best regards, Elena Salvatore.
Dear Mayra Duenas, Editorial Coordinator of ‘International Journal of Clinical Case Reports and Reviews Herewith I confirm an optimal peer review process and a great support of the editorial office of the present journal
Dear Editorial Team, Clinical Cardiology and Cardiovascular Interventions. I am really grateful for the peers review; their feedback gave me the opportunity to reflect on the message and impact of my work and to ameliorate the article. The editors did a great job in addition by encouraging me to continue with the process of publishing.
Dear Cecilia Lilly, Editorial Coordinator, Endocrinology and Disorders, Thank you so much for your quick response regarding reviewing and all process till publishing our manuscript entitled: Prevalence of Pre-Diabetes and its Associated Risk Factors Among Nile College Students, Sudan. Best regards, Dr Mamoun Magzoub.
International Journal of Clinical Case Reports and Reviews is a high quality journal that has a clear and concise submission process. The peer review process was comprehensive and constructive. Support from the editorial office was excellent, since the administrative staff were responsive. The journal provides a fast and timely publication timeline.
Dear Maria Emerson, Editorial Coordinator of International Journal of Clinical Case Reports and Reviews, What distinguishes International Journal of Clinical Case Report and Review is not only the scientific rigor of its publications, but the intellectual climate in which research is evaluated. The submission process is refreshingly free of unnecessary formal barriers and bureaucratic rituals that often complicate academic publishing without adding real value. The peer-review system is demanding yet constructive, guided by genuine scientific dialogue rather than hierarchical or authoritarian attitudes. Reviewers act as collaborators in improving the manuscript, not as gatekeepers imposing arbitrary standards. This journal offers a rare balance: high methodological standards combined with a respectful, transparent, and supportive editorial approach. In an era where publishing can feel more burdensome than research itself, this platform restores the original purpose of peer review — to refine ideas, not to obstruct them Prof. Perlat Kapisyzi, FCCP PULMONOLOGIST AND THORACIC IMAGING.
Dear Grace Pierce, International Journal of Clinical Case Reports and Reviews I appreciate the opportunity to review for Auctore Journal, as the overall editorial process was smooth, transparent and professionally managed. This journal maintains high scientific standards and ensures timely communications with authors, which is truly commendable. I would like to express my special thanks to editor Grace Pierce for his constant guidance, promt responses, and supportive coordination throughout the review process. I am also greatful to Eleanor Bailey from the finance department for her clear communication and efficient handling of all administrative matters. Overall, my experience with Auctore Journal has been highly positive and rewarding. Best regards, Sabita sinha
Dear Mayra Duenas, Editorial Coordinator of the journal IJCCR, I write here a little on my experience as an author submitting to the International Journal of Clinical Case Reports and Reviews (IJCCR). This was my first submission to IJCCR and my manuscript was inherently an outsider’s effort. It attempted to broadly identify and then make some sense of life’s under-appreciated mysteries. I initially had responded to a request for possible submissions. I then contacted IJCCR with a tentative topic for a manuscript. They quickly got back with an approval for the submission, but with a particular requirement that it be medically relevant. I then put together a manuscript and submitted it. After the usual back-and-forth over forms and formality, the manuscript was sent off for reviews. Within 2 weeks I got back 4 reviews which were both helpful and also surprising. Surprising in that the topic was somewhat foreign to medical literature. My subsequent updates in response to the reviewer comments went smoothly and in short order I had a series of proofs to evaluate. All in all, the whole publication process seemed outstanding. It was both helpful in terms of the paper’s content and also in terms of its efficient and friendly communications. Thank you all very much. Sincerely, Ted Christopher, Rochester, NY.